Nắm vững bảng công thức lượng giác lớp 11 là nền tảng để giải nhanh các bài tập lượng giác trong kỳ thi THPT. Bài viết này tổng hợp đầy đủ công thức từ cơ bản đến nâng cao, kèm mẹo ghi nhớ qua thơ giúp bạn học thuộc nhanh chóng.
6 Công Thức Lượng Giác Cơ Bản Cần Nhớ Vững
công thức lượng giácSáu công thức lượng giác cơ bản trong chương trình lớp 11
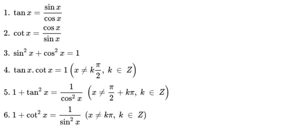
Đây là 6 công thức nền tảng xuất hiện trong mọi dạng bài tập lượng giác:
- sin²x + cos²x = 1
- tan x = sin x / cos x
- cot x = cos x / sin x
- tan x · cot x = 1
- 1 + tan²x = 1/cos²x
- 1 + cot²x = 1/sin²x
Mẹo từ Chef Kim: Học thuộc 3 công thức đầu, 3 công thức sau suy ra ngay. Khi làm bài, luôn kiểm tra điều kiện xác định (mẫu số khác 0).
Công Thức Cộng Lượng Giác
công thức lượng giácCông thức cộng hai góc trong lượng giác
Công thức cộng giúp khai triển sin, cos, tan của tổng hoặc hiệu hai góc:
- sin(a + b) = sin a · cos b + cos a · sin b
- sin(a – b) = sin a · cos b – cos a · sin b
- cos(a + b) = cos a · cos b – sin a · sin b
- cos(a – b) = cos a · cos b + sin a · sin b
- tan(a + b) = (tan a + tan b)/(1 – tan a · tan b)
- tan(a – b) = (tan a – tan b)/(1 + tan a · tan b)
Thơ ghi nhớ: “Sin thì sin cos cos sin / Cos thì cos cos sin sin ‘coi chừng’ (dấu trừ) / Tang tổng thì lấy tổng tang / Chia một trừ với tích tang dễ dàng”
Công Thức Nhân Đôi, Nhân Ba
Công thức nhân đôi
công thức lượng giácCông thức nhân đôi góc lượng giác
- sin 2a = 2 sin a · cos a
- cos 2a = cos²a – sin²a = 2cos²a – 1 = 1 – 2sin²a
- tan 2a = 2 tan a / (1 – tan²a)
Thơ nhớ nhanh: “Sin gấp đôi bằng 2 sin cos / Cos gấp đôi bằng bình cos trừ bình sin / Tang đôi ta lấy đôi tang / Chia 1 trừ lại bình tang, xong liền”
Công thức nhân ba
công thức lượng giácCông thức nhân ba góc lượng giác
- sin 3a = 3 sin a – 4 sin³a
- cos 3a = 4 cos³a – 3 cos a
- tan 3a = (3 tan a – tan³a) / (1 – 3 tan²a)
Thơ ghi nhớ: “Nhân ba một góc bất kỳ / Sin thì ba bốn, cos thì bốn ba / Dấu trừ đặt giữa hai ta / Lập phương chỗ bốn thế là ok”
Công Thức Hạ Bậc
công thức lượng giácCông thức hạ bậc lượng giác từ bậc 2 xuống bậc 1
Công thức hạ bậc giúp chuyển lũy thừa bậc cao về bậc thấp:
- sin²a = (1 – cos 2a)/2
- cos²a = (1 + cos 2a)/2
- tan²a = (1 – cos 2a)/(1 + cos 2a)
- sin³a = (3 sin a – sin 3a)/4
- cos³a = (3 cos a + cos 3a)/4
Ứng dụng: Dùng khi tính tích phân, giải phương trình lượng giác có lũy thừa bậc 2, 3.
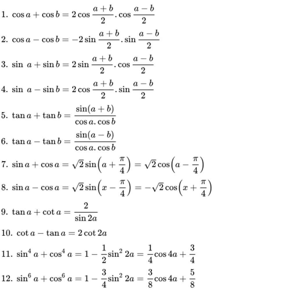
Công Thức Biến Đổi Tổng Thành Tích
công thức lượng giácCông thức biến đổi tổng thành tích trong lượng giác
- cos a + cos b = 2 cos[(a+b)/2] · cos[(a-b)/2]
- cos a – cos b = -2 sin[(a+b)/2] · sin[(a-b)/2]
- sin a + sin b = 2 sin[(a+b)/2] · cos[(a-b)/2]
- sin a – sin b = 2 cos[(a+b)/2] · sin[(a-b)/2]
Thơ nhớ: “Cos + Cos = 2 cos cos / Cos – Cos = -2 sin sin / Sin + Sin = 2 sin cos / Sin – Sin = 2 cos sin”
Công Thức Biến Đổi Tích Thành Tổng
công thức lượng giácCông thức biến đổi tích thành tổng lượng giác
- cos a · cos b = [cos(a-b) + cos(a+b)]/2
- sin a · sin b = [cos(a-b) – cos(a+b)]/2
- sin a · cos b = [sin(a+b) + sin(a-b)]/2
Khẩu quyết: “Cos cos nửa cos-cộng cộng cos-trừ / Sin sin nửa cos-trừ trừ cos-cộng / Sin cos nửa sin-cộng cộng sin-trừ”
Công Thức Các Cung Liên Kết Trên Đường Tròn
Hai góc đối nhau
- cos(-x) = cos x
- sin(-x) = -sin x
- tan(-x) = -tan x
- cot(-x) = -cot x
Hai góc bù nhau
- sin(π – x) = sin x
- cos(π – x) = -cos x
- tan(π – x) = -tan x
- cot(π – x) = -cot x
Hai góc phụ nhau
- sin(π/2 – x) = cos x
- cos(π/2 – x) = sin x
- tan(π/2 – x) = cot x
- cot(π/2 – x) = tan x
Khẩu quyết tổng quát: “Cos đối, sin bù, phụ chéo; khác pi tan (cot)”
Công Thức Nghiệm Phương Trình Lượng Giác Cơ Bản
công thức lượng giácCông thức nghiệm phương trình lượng giác cơ bản
| Phương trình | Nghiệm tổng quát |
|---|---|
| sin x = sin a | x = a + k2π hoặc x = π – a + k2π |
| cos x = cos a | x = ±a + k2π |
| tan x = tan a | x = a + kπ |
| cot x = cot a | x = a + kπ |
Trường hợp đặc biệt:
- sin x = 0 ⇔ x = kπ
- sin x = 1 ⇔ x = π/2 + k2π
- sin x = -1 ⇔ x = -π/2 + k2π
- cos x = 0 ⇔ x = π/2 + kπ
- cos x = 1 ⇔ x = k2π
- cos x = -1 ⇔ x = π + k2π
Bảng Giá Trị Lượng Giác Góc Đặc Biệt
công thức lượng giácBảng giá trị lượng giác các góc đặc biệt thường gặp
| Góc | 0° | 30° | 45° | 60° | 90° |
|---|---|---|---|---|---|
| sin | 0 | 1/2 | √2/2 | √3/2 | 1 |
| cos | 1 | √3/2 | √2/2 | 1/2 | 0 |
| tan | 0 | √3/3 | 1 | √3 | ∞ |
| cot | ∞ | √3 | 1 | √3/3 | 0 |
Mẹo nhớ sin: Chia 0, 1, 2, 3, 4 cho 4 rồi lấy căn: √(0/4), √(1/4), √(2/4), √(3/4), √(4/4)
Dấu Các Giá Trị Lượng Giác Theo Góc Phần Tư
| Góc phần tư | I | II | III | IV |
|---|---|---|---|---|
| sin x | + | + | – | – |
| cos x | + | – | – | + |
| tan x | + | – | + | – |
| cot x | + | – | + | – |
Quy tắc: Phần tư I toàn dương, phần tư II chỉ sin dương, phần tư III chỉ tan/cot dương, phần tư IV chỉ cos dương.
Công Thức Lượng Giác Nâng Cao Lớp 11
Hàm lượng giác ngược
công thức lượng giácCông thức hàm lượng giác ngược nâng cao
- arcsin(-x) = -arcsin x
- arccos(-x) = π – arccos x
- arctan(-x) = -arctan x
- arcsin x + arccos x = π/2
- arctan x + arccot x = π/2
Lượng giác hóa số phức
công thức lượng giácCông thức lượng giác hóa số phức
- e^(ix) = cos x + i sin x (công thức Euler)
- cos x = (e^(ix) + e^(-ix))/2
- sin x = (e^(ix) – e^(-ix))/(2i)
Tích phân hàm lượng giác đặc biệt
công thức lượng giácTích phân ứng dụng với hàm lượng giác
- ∫ sin x dx = -cos x + C
- ∫ cos x dx = sin x + C
- ∫ tan x dx = -ln|cos x| + C
- ∫ cot x dx = ln|sin x| + C
- ∫ 1/cos²x dx = tan x + C
- ∫ 1/sin²x dx = -cot x + C
Mẹo Ghi Nhớ Công Thức Lượng Giác Hiệu Quả
Học qua thơ vần điệu
Thơ giúp não bộ ghi nhớ lâu hơn nhờ vần điệu và nhịp nhàng. Ví dụ công thức tam giác vuông:
“Tìm sin lấy đối chia huyền
Cosin lấy cạnh kề, huyền chia nhau
Còn tang ta tính như sau
Đối trên, kề dưới chia nhau ra liền
Cotang cũng dễ ăn tiền
Kề trên, đối dưới chia liền là ra”
Luyện tập qua bài toán biến đổi
Thay vì học vẹt, hãy giải 5-10 bài biến đổi lượng giác mỗi ngày. Khi vận dụng công thức vào bài toán cụ thể, bạn sẽ nhớ lâu hơn gấp 3 lần so với chỉ đọc công thức.
Dạng bài nên luyện:
- Biến đổi tích thành tổng để rút gọn biểu thức
- Hạ bậc khi gặp sin²x, cos²x trong phương trình
- Đưa về góc đặc biệt khi chứng minh đẳng thức
Nhóm công thức theo mục đích sử dụng
Thay vì học tất cả cùng lúc, chia thành 3 nhóm:
- Nhóm biến đổi cơ bản: 6 công thức cơ bản, công thức cộng, nhân đôi
- Nhóm rút gọn: Hạ bậc, tổng thành tích, tích thành tổng
- Nhóm giải phương trình: Công thức nghiệm, góc đặc biệt
Học thuộc nhóm 1 trước (3-5 ngày), sau đó mới chuyển sang nhóm 2 và 3.
Nắm vững bảng công thức lượng giác lớp 11 này, bạn sẽ tự tin hơn khi đối mặt với mọi dạng bài tập lượng giác trong kỳ thi THPT 2026. Hãy in bảng công thức ra giấy, dán lên bàn học và ôn luyện đều đặn mỗi ngày.
Ngày cập nhật mới nhất 07/03/2026 by Chef Kim
Chef Kim là người phụ trách phát triển hương vị và nội dung ẩm thực tại Korea House – Delivery Korea Food. Với kinh nghiệm trực tiếp trong bếp và sự am hiểu các món ăn Hàn Quốc quen thuộc, Chef Kim tập trung chia sẻ cách chế biến đơn giản, nguyên liệu dễ tìm và hương vị phù hợp khẩu vị người Việt, dựa trên quá trình nấu thử và phản hồi thực tế từ khách hàng.
