Trong nghệ thuật ẩm thực chuyên nghiệp tại Korea House, sự chính xác chính là linh hồn tạo nên hương vị đồng nhất. Việc nắm vững cách tính sai số dụng cụ giúp đầu bếp kiểm soát định lượng gia vị và thực phẩm một cách tuyệt đối. Từ việc cân đo hải sản tươi sống đến định lượng nước sốt Gochujang, mỗi miligam đều tạo ra sự khác biệt lớn. Chúng tôi sẽ hướng dẫn bạn kỹ thuật đo lường đạt tiêu chuẩn quốc tế ISO trong năm 2026 này.
Biểu đồ tổng quan về cách tính sai số dụng cụ đo lường chuyên dụng trong nhà bếp hiện đại năm 2026.Hình 1: Hệ thống công thức nền tảng để kiểm soát độ chính xác trong định lượng nguyên liệu nấu ăn.
1. Khái niệm về đo lường và sai số trong thực tế nhà bếp
Trong môi trường bếp công nghiệp, việc đo lường một đại lượng vật lý như khối lượng thịt bò Wagyu là một phép so sánh. Chúng ta so sánh trọng lượng thực tế của nguyên liệu với một đơn vị chuẩn quy ước như gram hoặc kilogram (kg).
- Phép đo trực tiếp: Đây là phương pháp phổ biến nhất khi đầu bếp sử dụng cân điện tử để xác định trọng lượng thực phẩm. Kết quả hiển thị ngay trên màn hình dụng cụ đo mà không cần thông qua bất kỳ công thức tính toán trung gian nào.
- Phép đo gián tiếp: Phương pháp này dùng để xác định các chỉ số phức tạp hơn như nồng độ muối trong nước dùng. Đầu bếp sẽ đo các đại lượng trực tiếp như thể tích nước và khối lượng muối, sau đó áp dụng công thức liên hệ.
- Phân loại sai số trong chế biến:
- Sai số hệ thống: Đây là sự sai lệch do thiết bị đo không được hiệu chuẩn đúng cách hoặc bị lệch điểm 0. Ví dụ, một chiếc cân điện tử bị hỏng bộ phận cảm biến sẽ luôn cho kết quả nặng hơn thực tế 5 gram. Sai số này thường được lấy bằng một nửa hoặc bằng một độ chia nhỏ nhất in trên chính dụng cụ đo đó.
- Sai số ngẫu nhiên: Loại sai số này phát sinh do hạn chế về giác quan của con người hoặc tác động bên ngoài. Khi đầu bếp múc một thìa nước mắm, sự rung tay nhẹ có thể khiến lượng gia vị khác biệt giữa các lần đong.
Lưu ý quan trọng từ Chef Kim: Sai số hệ thống do lệch điểm 0 là loại lỗi cần phải loại bỏ hoàn toàn trong bếp. Bạn hãy luôn thực hiện thao tác “Tare” (về mức 0) cho cân điện tử trước khi bắt đầu định lượng bất kỳ nguyên liệu nào. Việc này đảm bảo tiêu chuẩn vệ sinh thực phẩm và tính minh bạch trong quản lý kho vận của các nhà hàng lớn.
2. Hệ thống công thức và cách tính sai số dụng cụ chi tiết
Để đạt được sự nhất nhất trong hương vị cho hàng ngàn suất ăn, đầu bếp cần áp dụng toán học vào quản lý. Tại Korea House, chúng tôi áp dụng cách tính sai số dụng cụ dựa trên các công thức vật lý chuẩn xác như sau.
- Sai số ngẫu nhiên: Đây là giá trị trung bình của sai số tuyệt đối sau nhiều lần thực hiện thao tác cân đo thực tế.
Hình 2: Cách tính toán sai số ngẫu nhiên để tối ưu hóa công thức chế biến nước sốt độc quyền.
Trong đó, sai số của mỗi lần đo cụ thể được tính bằng độ lệch so với giá trị trung bình của cả mẫu:
Hình 3: Xác định độ chênh lệch của từng lô nguyên liệu nhập kho so với tiêu chuẩn định lượng của nhà hàng.
- Cách ghi kết quả đo chuẩn chuyên nghiệp: Kết quả trọng lượng của một phần thịt bò cẩm thạch (marbling) phải được viết dưới dạng cụ thể.
Hình 4: Cách trình bày định lượng thực phẩm chuyên nghiệp trong hồ sơ quản lý bếp trung tâm năm 2026.
Trong quy trình này, bạn cần lưu ý hai thành phần chính cấu thành nên độ chính xác cuối cùng của món ăn:
- Giá trị trung bình: Tính bằng tổng tất cả các lần cân chia cho số lần thực hiện, biểu diễn đến hàng phân thập tương ứng.
Hình 5: Phương pháp thống kê trung bình để kiểm soát chi phí nguyên liệu đầu vào một cách hiệu quả nhất.
- Sai số tuyệt đối tổng thể: Đây là tổng hợp của hai nguồn sai số chính gồm sai số ngẫu nhiên và sai số thiết bị.
Hình 6: Công thức đánh giá tổng độ sai lệch để đảm bảo tính đồng nhất cho món ăn Hàn Quốc.
- Sai số tỉ đối: Chỉ số này giúp đầu bếp đánh giá chất lượng của công tác định lượng nguyên liệu một cách trực quan. Nó là tỉ lệ phần trăm giữa sai số tuyệt đối và giá trị thực tế của nguyên liệu tính theo phương pháp trung bình.
Hình 7: Cách tính phần trăm sai sót để điều chỉnh kỹ năng của phụ bếp trong quá trình sơ chế thịt.
3. Kiến thức mở rộng về sai số trong các công thức phức tạp
Trong bếp, chúng ta thường xuyên gặp các công thức tính toán gián tiếp như dự tính tổng calo hoặc tỉ lệ nước dùng. Áp dụng cách tính sai số dụng cụ gián tiếp đòi hỏi sự cẩn trọng cao độ để không làm hỏng hương vị món ăn.
- Sai số của phép tính cộng hoặc trừ: Sai số tuyệt đối của tổng hoặc hiệu bằng tổng các sai số tuyệt đối thành phần. Ví dụ: Khi trộn ba loại gia vị để làm sốt Bibimbap, tổng sai số sẽ là tổng lỗi của ba lần cân riêng biệt.
- Sai số của phép tính nhân hoặc chia: Sai số tỉ đối của một tích hoặc thương bằng tổng các sai số tỉ đối của các thừa số. Điều này rất quan trọng khi bạn nhân bản công thức nấu ăn từ quy mô gia đình lên quy mô nhà hàng lớn.
Hình 8: Ứng dụng toán học trong việc mở rộng quy mô sản xuất nước sốt theo tiêu chuẩn công nghiệp.
Nếu trong công thức có chứa các hằng số toán học như số Pi hoặc các hệ số chuyển đổi đơn vị, bạn cần lấy đủ số lẻ. Đảm bảo rằng sai số do làm tròn hằng số phải nhỏ hơn 1/10 tổng các sai số khác có mặt trong công thức tính toán.
Hình 9: Quy tắc làm tròn số lẻ đối với các thông số vật lý trong quản lý kỹ thuật bếp chuyên nghiệp.
BẢNG SO SÁNH ĐỘ CHÍNH XÁC CÂN ĐIỆN TỬ VÀ CÂN CƠ TRONG NHÀ BẾP (DỮ LIỆU 2026)
| Đặc điểm so sánh | Cân cơ học (Analog) | Cân điện tử (Digital) | Cân phân tích (Laboratory) |
|---|---|---|---|
| Độ chia nhỏ nhất | 10g – 100g | 0.1g – 1g | 0.001g – 0.01g |
| Sai số dụng cụ | Cao (do lò xo và kim chỉ) | Thấp (do cảm biến loadcell) | Rất thấp (cực kỳ chính xác) |
| Tốc độ phản hồi | Chậm, phụ thuộc thị giác | Nhanh, hiển thị số tức thì | Chậm (cần ổn định môi trường) |
| Ứng dụng tốt nhất | Cân rau củ, hải sản lớn | Định lượng gia vị, bột mì | Đo tinh dầu, phụ gia quý |
| Độ bền môi trường | Chịu độ ẩm tốt | Cần bảo quản khô ráo | Rất nhạy cảm với nhiệt độ |
Tổng hợp các quy tắc tính toán sau cùng để đầu bếp hoàn thiện kỹ năng định lượng thực phẩm.Hình 10: Tóm tắt các công thức quan trọng nhất trong quản lý sai số đo lường tại nhà hàng.
4. Bài tập thực hành tính toán sai số trong thực tế nấu ăn
Để hiểu rõ hơn về cách tính sai số dụng cụ, hãy cùng Chef Kim giải quyết hai tình huống thực tế tại bếp.
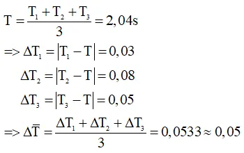
Câu 1: Đo thời gian lên men của Kimchi cải thảo Một đầu bếp dùng đồng hồ bấm giây để đo thời gian đạt độ chua chuẩn của 3 hũ Kimchi khác nhau. Kết quả thu được lần lượt là 2.01 ngày; 2.12 ngày; 1.99 ngày. Thang chia nhỏ nhất của dụng cụ đo là 0.01 ngày. Hãy biểu diễn kết quả thời gian trung bình kèm sai số.
Lời giải chi tiết: Ta tính thời gian trung bình của quá trình lên men:
Kết quả tính toán thời gian trung bình dựa trên các mẫu đo thực tế tại nhà hàng Korea House.Hình 11: Bước đầu tiên trong việc chuẩn hóa thời gian chế biến thực phẩm lên men truyền thống.
Tiếp theo, tính sai số ngẫu nhiên trung bình từ các lần đo:
Hình 12: Phân tích sự biến thiên của thời gian phản ứng hóa sinh trong quá trình muối dưa Hàn Quốc.
Kết hợp với sai số dụng cụ (0.01 ngày), ta có tổng sai số tuyệt đối là: 0.05 + 0.01 = 0.06 ngày. Kết quả chuẩn cần ghi: T = (2.04 ± 0.06) ngày.
Hình 13: Biểu diễn thông số đo lường thời gian lên men đạt tiêu chuẩn cao nhất năm 2026.
Câu 2: Định lượng khối lượng bột cho món bánh Mandu Dùng cân điện tử, một dụng cụ làm bánh cơ bản, có độ chia nhỏ nhất 0.001kg để đo 5 đợt bột vỏ bánh, kết quả hiển thị trong bảng dữ liệu kiểm soát nội bộ dưới đây:
Bảng dữ liệu thực tế về khối lượng nguyên liệu đầu vào được ghi chép để phục vụ tính toán sai số.Hình 14: Nhật ký định lượng bột bánh Mandu trong quy trình sản xuất thực phẩm khép kín.
Lời giải thực hành: Bước 1: Tính khối lượng bột trung bình cho mỗi đợt làm bánh:
Hình 15: Xác định định lượng chuẩn để tối ưu hóa giá thành và chất lượng món ăn tại bếp.
Bước 2: Tính sai số ngẫu nhiên dựa trên độ lệch thực tế của các túi bột.
Công thức tính toán sai lệch khối lượng giữa các túi bột trong quy trình đóng gói thủ công.
Bước 3: Xác định sai số ngẫu nhiên tổng quát của toàn bộ lô bột bằng cách tính sai số dụng cụ.
Bước 4: Xác định sai số dụng cụ đo dựa trên thông số kỹ thuật (0.001kg). Bước 5: Tổng hợp sai số của cả quá trình định lượng nguyên liệu.
Việc áp dụng các công thức đo lường chính xác giúp Korea House duy trì tiêu chuẩn vệ sinh thực phẩm khắt khe nhất. Khi bạn kiểm soát được sai số, bạn kiểm soát được sự an toàn và lòng tin của khách hàng đối với món ăn. Đừng bao giờ chủ quan với những con số nhỏ, vì chúng tích tụ tạo nên đẳng cấp của một nhà hàng cao cấp. Hãy bắt đầu rèn luyện kỹ năng định lượng ngay hôm nay để trở thành một đầu bếp thực thụ trong tương lai.
Để được hỗ trợ thêm về các kiến thức chuyên môn bếp và quản lý định lượng, bạn có thể tải ứng dụng quản lý bếp chuyên nghiệp của chúng tôi trên các nền tảng di động phổ biến hiện nay.
[ Tải ứng dụng hỗ trợ tính toán định lượng nguyên liệu trên iOS để quản lý bếp hiệu quả hơn. [ Phiên bản Android giúp đầu bếp kiểm soát sai số dụng cụ đo và định lượng thực phẩm mọi lúc.Hiểu rõ cách tính sai số dụng cụ là bước đệm quan trọng giúp bạn tối ưu hóa chi phí và chất lượng trong ẩm thực. Tại Korea House, chúng tôi luôn hỗ trợ các đầu bếp trẻ nắm vững kỹ thuật để tạo ra những món ăn Hàn Quốc chuẩn vị nhất. Chúc bạn sớm làm chủ được các phép đo lường và ngày càng thành công trên con đường trở thành chuyên gia bếp chuyên nghiệp.
Ngày cập nhật mới nhất 03/03/2026 by Chef Kim
Chef Kim là người phụ trách phát triển hương vị và nội dung ẩm thực tại Korea House – Delivery Korea Food. Với kinh nghiệm trực tiếp trong bếp và sự am hiểu các món ăn Hàn Quốc quen thuộc, Chef Kim tập trung chia sẻ cách chế biến đơn giản, nguyên liệu dễ tìm và hương vị phù hợp khẩu vị người Việt, dựa trên quá trình nấu thử và phản hồi thực tế từ khách hàng.
