Bạn đang tìm hiểu công thức bán kính đường tròn ngoại tiếp tam giác để giải bài tập hình học? Đây là kiến thức quan trọng trong chương trình Toán 10, giúp bạn tính toán chính xác bán kính R khi biết các yếu tố của tam giác. Bài viết này sẽ hướng dẫn chi tiết 4 phương pháp tính toán hiệu quả nhất.
Các Phương Pháp Tính Bán Kính Đường Tròn Ngoại Tiếp
Phương Pháp 1: Định Lý Sin
Đây là cách phổ biến nhất khi bạn biết độ dài một cạnh và góc đối diện. Cho tam giác ABC với BC = a, CA = b, AB = c, bán kính R được tính:
Công thức bán kính đường tròn ngoại tiếp tam giác sử dụng định lý sin
Công thức định lý sin cho tam giác ABC
Công thức bán kính đường tròn ngoại tiếp tam giác: R = a/(2sinA) = b/(2sinB) = c/(2sinC)
Ví dụ: Tam giác ABC có góc B = 45° và AC = 4. Áp dụng công thức:
R = AC/(2sinB) = 4/(2sin45°) = 4/(2 × √2/2) = 4/√2 = 2√2
Phương Pháp 2: Sử Dụng Diện Tích
Khi biết cả ba cạnh tam giác, phương pháp này cho kết quả chính xác nhất:
Công thức liên hệ giữa bán kính, cạnh và diện tích
Công thức: R = (abc)/(4S), trong đó S là diện tích tam giác
Bước thực hiện:
- Tính nửa chu vi: p = (a + b + c)/2
- Tính diện tích theo Heron: S = √[p(p-a)(p-b)(p-c)]
- Áp dụng công thức R = (abc)/(4S)
Ví dụ: Tam giác ABC có AB = 3, AC = 5, BC = 6
p = (3 + 5 + 6)/2 = 7
S = √[7(7-3)(7-5)(7-6)] = √[7×4×2×1] = √56 = 2√14
R = (3×5×6)/(4×2√14) = 90/(8√14) = 45√14/56
Phương Pháp 3: Hệ Tọa Độ
Phương pháp này hữu ích khi làm việc với tọa độ điểm:
Các bước thực hiện:
- Tìm tọa độ tâm O của đường tròn ngoại tiếp (giao điểm các đường trung trực)
- Xác định tọa độ một đỉnh A, B hoặc C
- Tính khoảng cách: R = OA = OB = OC
Lưu ý: Tâm O cách đều ba đỉnh, nên OA² = OB² = OC²
Phương Pháp 4: Tam Giác Vuông
Đây là trường hợp đặc biệt đơn giản nhất. Với tam giác vuông, tâm đường tròn ngoại tiếp chính là trung điểm cạnh huyền.
Công thức bán kính đường tròn ngoại tiếp tam giác vuông: R = c/2 (c là cạnh huyền)
Ví dụ: Tam giác MNP vuông tại M, có MN = 6, MP = 8, PN = 10
Kiểm tra: 6² + 8² = 36 + 64 = 100 = 10² → tam giác vuông
R = PN/2 = 10/2 = 5
Bài Tập Vận Dụng Có Lời Giải
Bài 1: Tính Bán Kính Khi Biết Góc và Cạnh
Đề bài: Tam giác ABC có góc B = 45° và AC = 4. Tính bán kính R.
Lời giải:
Minh họa tam giác với góc B = 45°
Tam giác ABC với góc B = 45°
Áp dụng định lý sin: R = b/(2sinB) = 4/(2sin45°) = 4/(2×√2/2) = 2√2
Bài 2: Tính Bán Kính Khi Biết Ba Cạnh
Đề bài: Tam giác ABC có AB = 3, AC = 5, BC = 6. Tính R.
Lời giải:
Tam giác với ba cạnh cho trước
Tam giác ABC với ba cạnh đã biết
Nửa chu vi: p = (3 + 5 + 6)/2 = 7
Diện tích: S = √[7×4×2×1] = 2√14
Công thức tính bán kính từ diện tích
R = (3×5×6)/(4×2√14) = 45√14/56
Bài 3: Tam Giác Vuông
Đề bài: Tam giác MNP có MN = 6, MP = 8, PN = 10. Tính R.
Lời giải:
Tam giác vuông MNP
Tam giác vuông với cạnh huyền PN = 10
Kiểm tra: 6² + 8² = 100 = 10² → tam giác vuông tại M
Bán kính: R = PN/2 = 5
Bài 4: Đường Tròn Nội Tiếp và Ngoại Tiếp
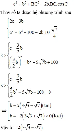
Đề bài: Tam giác ABC có BC = 10, đường tròn (I) tâm I nằm trên BC, tiếp xúc AB tại M và AC tại N. Biết bán kính (I) = 3 và 2IB = 3IC. Tính R.
Lời giải:
Đường tròn nội tiếp và ngoại tiếp tam giác
Tam giác ABC với đường tròn nội tiếp (I)
Từ 2IB = 3IC và IB + IC = 10:
Phương trình tìm IB và IC
IB = 6, IC = 4
Vì M, N là tiếp điểm: IM ⊥ AB, IN ⊥ AC
Áp dụng định lý Pythagore
BM = √(IB² – IM²) = √(36 – 9) = 3√3
CN = √(IC² – IN²) = √(16 – 9) = √7
Tính sin góc
Tính sin góc B và C
Áp dụng định lý sin:
Công thức cuối cùng
Định lý cosin trong tam giác ABC
Kết quả bán kính R
Bán kính đường tròn ngoại tiếp
Bài 5: Bài Toán Tổng Hợp
Đề bài: Tam giác ABC vuông tại A, AB = 1, AC = 4. M là trung điểm AC.
a) Tính diện tích tam giác ABC
b) Tính bán kính R₁ của đường tròn ngoại tiếp tam giác ABC
c) Tính bán kính R₂ của đường tròn ngoại tiếp tam giác CBM
Lời giải:
Tam giác vuông ABC với M là trung điểm AC
Hình vẽ minh họa tam giác ABC và điểm M
a) Diện tích:
S = (1×4)/2 = 2
b) Bán kính R₁:
Tính cạnh huyền BC
BC = √(1² + 4²) = √17
Tam giác vuông: R₁ = BC/2 = √17/2
c) Bán kính R₂:
M là trung điểm AC → AM = 2
BM = √(AB² + AM²) = √(1 + 4) = √5
Tam giác BMC với các cạnh đã biết
Áp dụng công thức diện tích:
R₂ = (2×√5×√17)/(4×2) = √85/4
Mẹo Giải Nhanh
Mẹo 1: Với tam giác vuông, luôn nhớ R = cạnh huyền/2. Không cần tính góc hay diện tích.
Mẹo 2: Khi đề cho góc và cạnh đối, dùng ngay định lý sin R = a/(2sinA). Nhanh nhất.
Mẹo 3: Nếu biết cả ba cạnh nhưng không biết góc, dùng công thức Heron kết hợp R = abc/(4S).
Lỗi Thường Gặp Khi Tính Bán Kính
Nhầm lẫn công thức: Học sinh hay nhầm giữa bán kính đường tròn ngoại tiếp (R) và nội tiếp (r). Nhớ rằng R luôn lớn hơn r.
Sai đơn vị góc: Khi dùng máy tính, kiểm tra chế độ Degree (độ) hay Radian. Góc 45° ≠ 45 radian.
Quên kiểm tra tam giác vuông: Nếu a² + b² = c², dùng ngay R = c/2 thay vì tính phức tạp.
Tính sai diện tích: Công thức Heron yêu cầu p = (a+b+c)/2, không phải (a+b+c).
Nắm vững công thức bán kính đường tròn ngoại tiếp tam giác giúp bạn giải nhanh các bài toán hình học phẳng. Hãy luyện tập đều đặn với các dạng bài khác nhau để thành thạo cả 4 phương pháp trên.
Ngày cập nhật mới nhất 08/03/2026 by Chef Kim
Chef Kim là người phụ trách phát triển hương vị và nội dung ẩm thực tại Korea House – Delivery Korea Food. Với kinh nghiệm trực tiếp trong bếp và sự am hiểu các món ăn Hàn Quốc quen thuộc, Chef Kim tập trung chia sẻ cách chế biến đơn giản, nguyên liệu dễ tìm và hương vị phù hợp khẩu vị người Việt, dựa trên quá trình nấu thử và phản hồi thực tế từ khách hàng.
