Công thức hạ bậc lượng giácHệ thống công thức hạ bậc lượng giác cơ bản trong chương trình Toán THPT
Công thức hạ bậc lượng giác là kỹ thuật biến đổi giúp đưa hàm số lượng giác từ bậc cao xuống bậc thấp hơn, giúp đơn giản hóa bài toán và tính toán nhanh chóng hơn. Đây là nội dung quan trọng trong chương trình Toán lớp 10, được ứng dụng rộng rãi trong giải phương trình, chứng minh đẳng thức và rút gọn biểu thức lượng giác.
Công Thức Hạ Bậc Lượng Giác Là Gì?
Lượng giác (Trigonometry) nghiên cứu mối liên hệ giữa cạnh và góc trong tam giác, đặc biệt là tam giác vuông. Hạ bậc là kỹ thuật chuyển đổi hàm số lượng giác có số mũ cao (bậc 2, 3, 4…) về dạng bậc thấp hơn hoặc bậc 1, giúp việc tính toán trở nên đơn giản và dễ kiểm soát hơn.
Ví dụ: sin²x có thể hạ bậc thành (1 – cos2x)/2, giúp loại bỏ số mũ bậc 2 và chuyển về dạng cos với góc gấp đôi.
7 Công Thức Hạ Bậc Lượng Giác Cơ Bản
1. Công Thức Hạ Bậc 2
Công thức hạ bậc 2Công thức hạ bậc 2 cho sin²x, cos²x, tan²x
Đây là nhóm công thức được sử dụng nhiều nhất:
- sin²x = (1 – cos2x)/2
- cos²x = (1 + cos2x)/2
- tan²x = (1 – cos2x)/(1 + cos2x)
2. Công Thức Hạ Bậc 3
Công thức hạ bậc 3Công thức hạ bậc 3 cho sin³x và cos³x
Công thức hạ bậc 3:
- sin³x = (3sinx – sin3x)/4
- cos³x = (3cosx + cos3x)/4
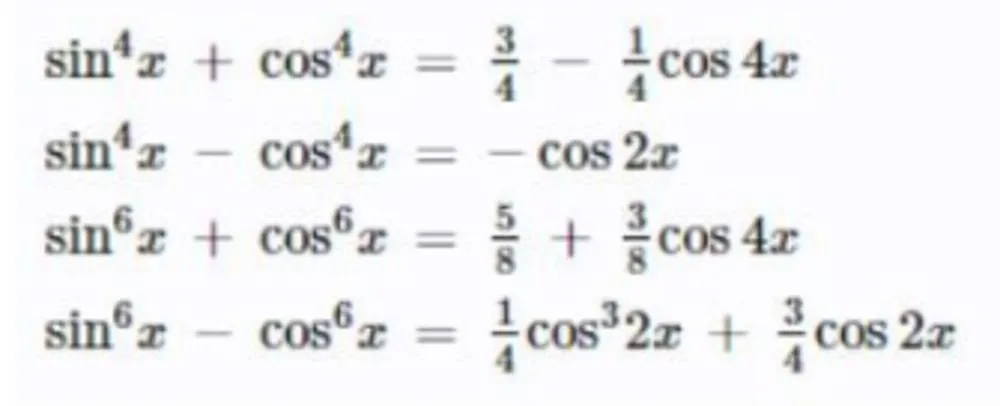
3. Công Thức Hạ Bậc 4
Công thức hạ bậc 4Công thức hạ bậc 4 cho sin⁴x và cos⁴x
Với bậc 4, công thức phức tạp hơn:
- sin⁴x = (3 – 4cos2x + cos4x)/8
- cos⁴x = (3 + 4cos2x + cos4x)/8
4. Công Thức Hạ Bậc 5
Công thức hạ bậc 5Công thức hạ bậc 5 cho sin⁵x và cos⁵x
Công thức bậc 5:
- sin⁵x = (10sinx – 5sin3x + sin5x)/16
- cos⁵x = (10cosx + 5cos3x + cos5x)/16
5. Các Công Thức Hạ Bậc Khác
Hạ bậc sin²x, cos²x, tan²x:
Công thức hạ bậc sin, cos, tan bậc 2Các biến thể công thức hạ bậc 2
Hạ bậc sin³x, cos³x:
Công thức hạ bậc sin, cos bậc 3Công thức hạ bậc 3 chi tiết
Hạ bậc sin⁴x, cos⁴x:
Công thức hạ bậc sin, cos bậc 4Công thức hạ bậc 4 chi tiết
6. Phương Pháp Hạ Bậc Toàn Cục
Công thức hạ bậc toàn cụcPhương pháp hạ bậc tổng quát cho mọi bậc
7. Phương Pháp Hạ Bậc Đối Xứng
Công thức hạ bậc đối xứngCông thức hạ bậc cho biểu thức đối xứng
Ví Dụ Minh Họa Áp Dụng Công Thức Hạ Bậc
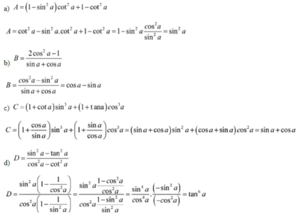
Ví dụ 1: Rút gọn biểu thức
A = sin²x + 2sin(a-x)·sinx·cosa + sin²(a-x)
Lời giải:
= sin²x + sin(a-x)(2sinx·cosa + sin(a-x))
= sin²x + sin(a-x)(2sinx·cosa + sina·cosx – cosa·sinx)
= sin²x + sin(a-x)(sinx·cosa + sina·cosx)
= sin²x + sin(a-x)·sin(a+x)
= sin²x + ½(cos2x – cos2a)
= sin²a
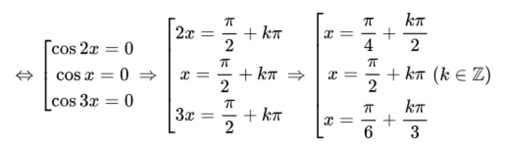
Ví dụ 2: Giải phương trình sin²x = cos²x + cos²3x
Lời giải:
Biến đổi: (1 – cos2x)/2 = (1 + cos4x)/2 + cos²3x
⇒ 2cos²3x + (cos4x + cos2x) = 0
⇒ 2cos²3x + 2cos3x·cosx = 0
⇒ 2cos2x·cosx·cos3x = 0
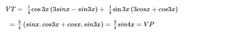
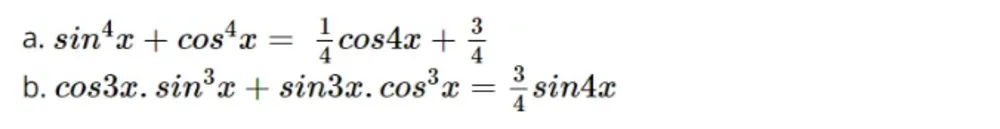
Ví dụ 3: Rút gọn B = sin³x·cos³x + sin³x·cos³x
Lời giải:
= ¼(3sinx – sin3x)cos3x + ¼(3cosx + cos3x)sin3x
= ¾(sinx·cos3x + cosx·sin3x)
= ¾sin4x
Mẹo Ghi Nhớ Công Thức Hạ Bậc Lượng Giác
Ghi Nhớ Công Thức Cơ Bản
Công thức lượng giác cơ bản:
- “Sao đi học” → sin = đối/huyền
- “Cứ khóc hoài” → cos = kề/huyền
- “Thôi đừng khóc” → tan = đối/kề
- “Có kẹo đây” → cot = kề/đối
Ghi Nhớ Công Thức Cộng
Cos (cosin): cos cos sin sin
Sin: sin cos cos sin
Cos thì đổi dấu, sin thì giữ dấu
Tan: Tan tổng thì lấy tổng tan, chia một trừ với tích tan
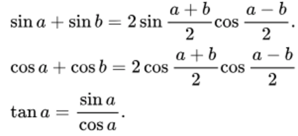
Ghi Nhớ Biến Đổi Tổng Thành Tích
- cos + cos = 2cos·cos
- cos – cos = -2sin·sin
- sin + sin = 2sin·cos
- sin – sin = 2cos·sin
Ghi Nhớ Biến Đổi Tích Thành Tổng
- cos·cos = nửa (cos cộng + cos trừ)
- sin·sin = nửa (cos trừ – cos cộng)
- sin·cos = nửa (sin cộng + sin trừ)
Ghi Nhớ Công Thức Nhân Đôi
- sin2x = 2sin·cos
- cos2x = cos² – sin² = 1 – 2sin² = 2cos² – 1
- tan2x = 2tan/(1 – tan²)
Bài Tập Vận Dụng Công Thức Hạ Bậc
Bài 1: Giải phương trình sin²x = cos²x + cos²3x
Lời giải bài tập 1Các bước giải chi tiết
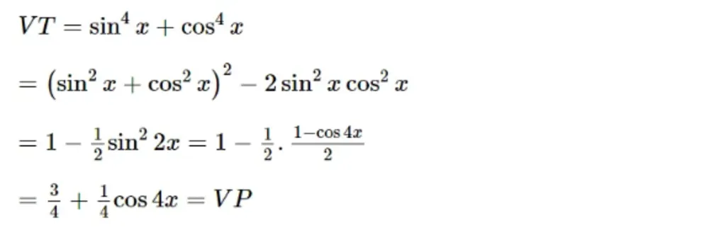
Bài 2: Chứng minh công thức
Đề bài 2Bài tập chứng minh đẳng thức
Bài 3: Chứng minh đẳng thức
Đề bài 3Bài tập chứng minh nâng cao
Lời giải:
Lời giải bài 3 phần 1Bước 1: Áp dụng công thức hạ bậc
Lời giải bài 3 phần 2Bước 2: Biến đổi và rút gọn
Bài 4: Giải phương trình
- sin³a + cos³a = 0
- sin²a + cos²a = 0
Lời giải:
Câu 1: sin³a + cos³a = 0
⇒ (1 – cos3a)/2 + cos3a = 0
⇒ 1 + cos3a = 0
⇒ cos3a = -1
⇒ 3a = π + k2π
Câu 2: sin²a + cos²a = 0
⇒ (1 – cos2a)/2 + cos2a = 0
⇒ 1 + cos2a = 0
⇒ cos2a = -1
⇒ a = π/2 + kπ
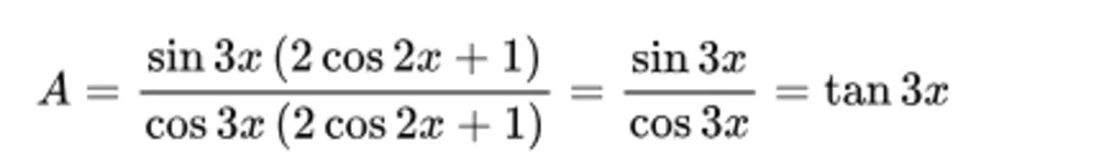
Bài 5: Rút gọn biểu thức
Đề bài 5Bài tập rút gọn biểu thức phức tạp
Lời giải:
Công thức áp dụngCác công thức biến đổi tổng thành tích
sinx + sin3x + sin5x = sin3x(2cos2x + 1)
cosx + cos3x + cos5x = cos3x(2cos2x + 1)
Kết quả cuối cùngKết quả: A = tan3x
Lưu Ý Khi Giải Bài Tập Hạ Bậc Lượng Giác
- Nắm vững các công thức hạ bậc cơ bản và đạo hàm
- Phân tích bài toán thành các phần nhỏ, giải quyết từng phần
- Kết hợp nhiều phương pháp: hạ bậc, biến đổi tổng thành tích, tích thành tổng
- Kiểm tra kỹ điều kiện xác định và miền giá trị
- Sử dụng máy tính để kiểm tra kết quả
Mẹo từ Chef Kim: Khi gặp biểu thức có sin²x hoặc cos²x, hãy nghĩ ngay đến công thức hạ bậc 2. Đây là bước đầu tiên giúp đơn giản hóa hầu hết các bài toán lượng giác phức tạp.
Công thức hạ bậc lượng giác tuy có nhiều nhưng chỉ cần luyện tập đều đặn, bạn sẽ nắm vững và áp dụng thành thạo. Hãy bắt đầu từ các công thức cơ bản nhất, sau đó mở rộng dần sang các dạng phức tạp hơn.
Ngày cập nhật mới nhất 09/03/2026 by Chef Kim
Chef Kim là người phụ trách phát triển hương vị và nội dung ẩm thực tại Korea House – Delivery Korea Food. Với kinh nghiệm trực tiếp trong bếp và sự am hiểu các món ăn Hàn Quốc quen thuộc, Chef Kim tập trung chia sẻ cách chế biến đơn giản, nguyên liệu dễ tìm và hương vị phù hợp khẩu vị người Việt, dựa trên quá trình nấu thử và phản hồi thực tế từ khách hàng.
