Công thức lượng giác lớp 10 là nền tảng quan trọng xuyên suốt chương trình Toán THPT, xuất hiện trong mọi kỳ thi từ học kỳ đến tốt nghiệp và đánh giá năng lực. Nắm vững các công thức này không chỉ giúp bạn giải bài tập nhanh hơn mà còn xây dựng tư duy toán học vững chắc cho các cấp độ cao hơn.
Tổng hợp công thức lượng giác lớp 10 đầy đủ nhất
Công Thức Cộng Lượng Giác
Công thức cộng sin cos tan cot
Mẹo nhớ nhanh:
- Sin: sin cos + cos sin (dấu giữ nguyên)
- Cos: cos cos – sin sin (dấu đổi ngược)
- Tan: (tan + tan) / (1 – tan·tan)
Công Thức Cung Liên Kết Đặc Biệt
Hai góc đối nhau (-x)
- sin(-x) = -sin(x)
- cos(-x) = cos(x)
- tan(-x) = -tan(x)
Hai góc bù nhau (π – x)
- sin(π – x) = sin(x)
- cos(π – x) = -cos(x)
- tan(π – x) = -tan(x)
Hai góc phụ nhau (π/2 – x)
- sin(π/2 – x) = cos(x)
- cos(π/2 – x) = sin(x)
- tan(π/2 – x) = cot(x)
Hai góc hơn kém π
- sin(π + x) = -sin(x)
- cos(π + x) = -cos(x)
- tan(π + x) = tan(x)
Khẩu quyết: Cos đối, sin bù, phụ chéo, tan hơn kém π
Công Thức Nhân Đôi – Nhân Ba
Công thức nhân đôi lượng giác
Nhân đôi
- sin(2x) = 2sin(x)cos(x)
- cos(2x) = cos²(x) – sin²(x) = 2cos²(x) – 1 = 1 – 2sin²(x)
- tan(2x) = 2tan(x) / [1 – tan²(x)]
Nhân ba
Công thức nhân ba
- sin(3x) = 3sin(x) – 4sin³(x)
- cos(3x) = 4cos³(x) – 3cos(x)
Công Thức Hạ Bậc
Công thức hạ bậc lượng giác
- sin²(x) = [1 – cos(2x)] / 2
- cos²(x) = [1 + cos(2x)] / 2
- tan²(x) = [1 – cos(2x)] / [1 + cos(2x)]
Ứng dụng: Dùng để đơn giản hóa biểu thức chứa lũy thừa bậc chẵn của hàm lượng giác.
Công Thức Biến Đổi Tổng Thành Tích
Biến đổi tổng thành tích
- cos(a) + cos(b) = 2cos[(a+b)/2]·cos[(a-b)/2]
- cos(a) – cos(b) = -2sin[(a+b)/2]·sin[(a-b)/2]
- sin(a) + sin(b) = 2sin[(a+b)/2]·cos[(a-b)/2]
- sin(a) – sin(b) = 2cos[(a+b)/2]·sin[(a-b)/2]
Mẹo nhớ: Cos cộng cos = 2 cos cos; cos trừ cos = -2 sin sin; sin cộng sin = 2 sin cos; sin trừ sin = 2 cos sin
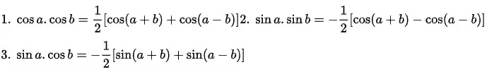
Công Thức Biến Đổi Tích Thành Tổng
Biến đổi tích thành tổng
- cos(a)·cos(b) = [cos(a-b) + cos(a+b)] / 2
- sin(a)·sin(b) = [cos(a-b) – cos(a+b)] / 2
- sin(a)·cos(b) = [sin(a+b) + sin(a-b)] / 2
Mẹo nhớ: Cos cos nửa cos(-) + cos(+); sin sin nửa cos(-) – cos(+); sin cos nửa sin(+) + sin(-)
Nghiệm Phương Trình Lượng Giác Cơ Bản
Nghiệm phương trình lượng giác
Phương trình sin
- sin(x) = sin(α) ⇔ x = α + k2π hoặc x = π – α + k2π (k ∈ ℤ)
- sin(x) = 0 ⇔ x = kπ
- sin(x) = 1 ⇔ x = π/2 + k2π
- sin(x) = -1 ⇔ x = -π/2 + k2π
Phương trình cos
- cos(x) = cos(α) ⇔ x = ±α + k2π (k ∈ ℤ)
- cos(x) = 0 ⇔ x = π/2 + kπ
- cos(x) = 1 ⇔ x = k2π
- cos(x) = -1 ⇔ x = π + k2π
Phương trình tan và cot
- tan(x) = tan(α) ⇔ x = α + kπ (k ∈ ℤ)
- cot(x) = cot(α) ⇔ x = α + kπ (k ∈ ℤ)
Dấu Các Giá Trị Lượng Giác Theo Góc Phần Tư
| Góc phần tư | I (0° – 90°) | II (90° – 180°) | III (180° – 270°) | IV (270° – 360°) |
|---|---|---|---|---|
| sin(x) | + | + | – | – |
| cos(x) | + | – | – | + |
| tan(x) | + | – | + | – |
| cot(x) | + | – | + | – |
Quy tắc nhớ: Góc phần tư I: tất cả dương; II: chỉ sin dương; III: chỉ tan dương; IV: chỉ cos dương.
Bảng Giá Trị Lượng Giác Các Góc Đặc Biệt
Bảng giá trị lượng giác góc đặc biệt
Bảng này liệt kê giá trị chính xác của sin, cos, tan, cot tại các góc 0°, 30°, 45°, 60°, 90°, 180°, 270°, 360° – những góc xuất hiện thường xuyên nhất trong bài tập.
Công Thức Lượng Giác Nâng Cao
Công thức lượng giác nâng cao
Các công thức bổ sung cho nhân bốn, biến đổi phức tạp hơn, và các hệ thức đặc biệt – thường xuất hiện trong đề thi nâng cao và Olympic.
Phương Pháp Học Thuộc Hiệu Quả
Luyện tập đều đặn: Làm ít nhất 5-10 bài tập mỗi ngày áp dụng từng nhóm công thức.
Sử dụng thơ nhớ: Các câu thơ trên giúp ghi nhớ nhanh cấu trúc công thức, sau đó thực hành để thuộc lòng.
Liên hệ thực tế: Hiểu nguồn gốc từ đường tròn lượng giác giúp nhớ lâu hơn học vẹt.
Ôn tập theo cụm: Nhóm các công thức liên quan (cộng – nhân đôi – hạ bậc) để thấy mối liên hệ.
Nắm vững công thức lượng giác lớp 10 là bước đệm vững chắc cho toàn bộ chương trình Toán THPT. Hãy dành thời gian thực hành đều đặn, kết hợp với các mẹo nhớ để tự tin chinh phục mọi dạng bài tập lượng giác.
Ngày cập nhật mới nhất 08/03/2026 by Chef Kim
Chef Kim là người phụ trách phát triển hương vị và nội dung ẩm thực tại Korea House – Delivery Korea Food. Với kinh nghiệm trực tiếp trong bếp và sự am hiểu các món ăn Hàn Quốc quen thuộc, Chef Kim tập trung chia sẻ cách chế biến đơn giản, nguyên liệu dễ tìm và hương vị phù hợp khẩu vị người Việt, dựa trên quá trình nấu thử và phản hồi thực tế từ khách hàng.
