Trong lộ trình ôn thi tốt nghiệp THPT năm 2026, việc làm chủ công thức nguyên hàm hàm hợp được coi là “chìa khóa vàng” giúp học sinh xử lý nhanh các bài toán vận dụng cao. Không chỉ dừng lại ở những phép tính cơ bản, hàm hợp đòi hỏi tư duy phân tích biến số và sự chính xác tuyệt đối trong từng bước vi phân.
1. Bản chất cốt lõi của nguyên hàm hàm hợp
Để hiểu sâu về công thức nguyên hàm hàm hợp, trước hết chúng ta cần nhìn nhận nguyên hàm như một quá trình ngược của đạo hàm. Nếu đạo hàm hàm hợp có công thức $[f(u(x))]’ = f'(u) cdot u'(x)$, thì nguyên hàm hàm hợp sẽ đi tìm hàm gốc từ biểu thức có cấu trúc tương tự.
Hiểu một cách đơn giản, khi bạn đối mặt với một biểu thức phức tạp, mục tiêu là đưa nó về dạng cơ bản nhất bằng cách thay đổi “điểm nhìn” thông qua biến số mới. Trong toán học giải tích, đây chính là kỹ thuật “khớp” vi phân.
Mẹo từ chuyên gia: Luôn kiểm tra xem đạo hàm của hàm số bên trong (hàm $u$) có xuất hiện trong biểu thức tích phân hay không. Nếu có, đó là dấu hiệu 90% bạn cần dùng đến công thức nguyên hàm hàm hợp.
2. Các thành phần cấu thành công thức (Bảng nguyên liệu Toán học)
Giống như việc chuẩn bị nguyên liệu kỹ lưỡng cho một món ăn phức tạp, để giải quyết công thức nguyên hàm hàm hợp, bạn cần nhận diện đúng các thành phần sau:
| Thành phần | Ký hiệu | Vai trò trong phép toán |
|---|---|---|
| Hàm ngoài | $f(u)$ | Cấu trúc chính (như hàm mũ, lượng giác, lũy thừa) |
| Hàm hợp bên trong | $u(x)$ | Biến số phụ cần được xử lý vi phân |
| Biểu thức đi kèm | $u'(x)dx$ | Phần bổ trợ để chuyển đổi sang $du$ |
| Hằng số tích phân | $C$ | Thành phần bắt buộc trong mọi họ nguyên hàm |
3. Hệ thống bảng công thức nguyên hàm hàm hợp từ cơ bản đến nâng cao
Việc ghi nhớ máy móc thường dẫn đến sai sót về dấu hoặc hệ số. Thay vào đó, hãy hệ thống hóa các công thức nguyên hàm hàm hợp theo nhóm chức năng dưới đây để tối ưu hóa bộ nhớ cho kỳ thi 2026.
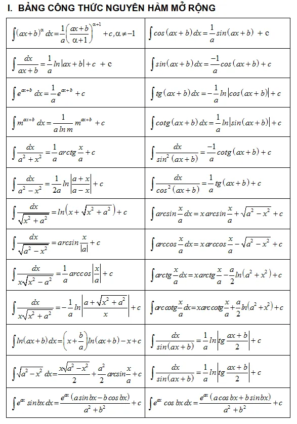
3.1. Bảng công thức nguyên hàm cơ bản làm nền tảng
Trước khi nâng cấp lên hàm hợp, học sinh cần thuộc lòng các dạng nguyên hàm sơ cấp. Đây là “bảng chữ cái” để chúng ta ghép nối thành các lời giải phức tạp hơn.
Bảng công thức nguyên hàm cơ bản dành cho học sinh lớp 12Hình 1: Hệ thống nguyên hàm của các hàm số sơ cấp thường gặp trong đề thi.
3.2. Mở rộng công thức nguyên hàm hàm hợp dạng $ax + b$
Dạng hàm hợp đơn giản nhất và xuất hiện nhiều nhất là khi $u(x) = ax + b$. Điểm quan trọng nhất ở đây là hệ số $1/a$ đi kèm. Rất nhiều học sinh mất điểm đáng tiếc do quên chia cho hệ số $a$.
Các dạng công thức nguyên hàm nâng cao và mở rộngHình 2: Tổng hợp các dạng biến đổi hàm hợp nâng cao để xử lý bài toán vận dụng.
3.3. Công thức nguyên hàm hàm hợp cho hàm phân thức và căn thức
Với các bài toán chứa căn hoặc mẫu số phức tạp, việc áp dụng công thức nguyên hàm hàm hợp đòi hỏi bước biến đổi vi phân $du = u'(x)dx$ cực kỳ cẩn thận.
Bảng liệt kê công thức nguyên hàm mở rộng cho các hàm khóHình 3: Các dạng công thức bổ trợ giúp rút ngắn thời gian làm bài trắc nghiệm.
4. Chinh phục nguyên hàm lượng giác hàm hợp
Hàm lượng giác kết hợp với hàm hợp thường là “nỗi sợ” của học sinh. Tuy nhiên, nếu nắm vững quy tắc đổi biến và các công thức lượng giác cơ bản, bạn sẽ thấy chúng tuân theo những logic rất chặt chẽ.
Hệ thống công thức lượng giác ứng dụng trong nguyên hàmHình 4: Bảng nguyên hàm lượng giác thường gặp và các biến thể hàm hợp.
5. Quy trình 3 bước giải bài tập bằng công thức nguyên hàm hàm hợp
Để không bỏ sót bước nào khi làm bài thi dưới áp lực thời gian, hãy áp dụng quy trình “Step-by-step” sau:
Bước 1: Nhận diện cấu trúc. Quan sát biểu thức để xác định đâu là $u(x)$. Thông thường $u(x)$ nằm trong ngoặc, dưới dấu căn, trên số mũ hoặc ở mẫu số.
Bước 2: Thực hiện vi phân. Tính $u'(x)$ và biểu thị $dx$ qua $du$. Lưu ý: $du = u'(x)dx$. Đây là bước then chốt để chuyển toàn bộ bài toán sang biến mới.
Bước 3: Áp dụng công thức và trả biến. Sử dụng bảng công thức nguyên hàm hàm hợp để tìm kết quả theo biến $u$, sau đó thay $u$ bằng biểu thức ban đầu của $x$.
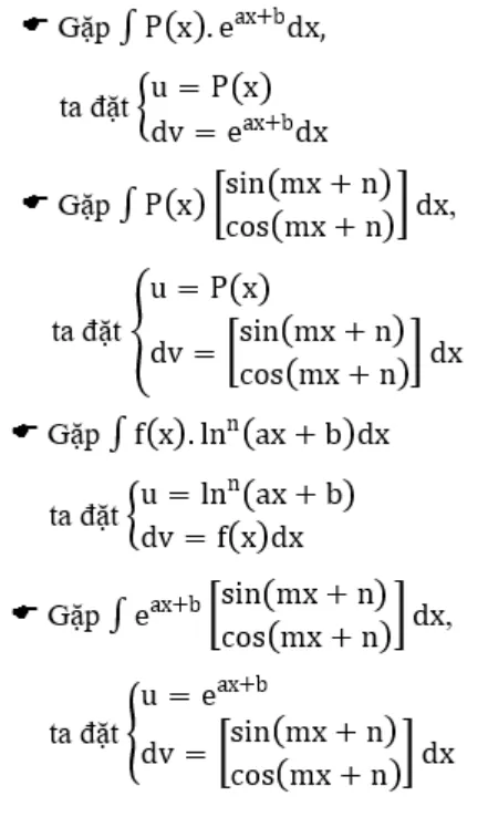
Ví dụ minh họa kỹ thuật nguyên hàm từng phần phối hợp hàm hợp
Trong nhiều trường hợp, công thức nguyên hàm hàm hợp cần được phối hợp cùng phương pháp nguyên hàm từng phần để giải quyết những hàm đa thức kết hợp lượng giác hoặc mũ.
Kỹ thuật nguyên hàm từng phần và các trường hợp đặc biệtHình 5: Hướng dẫn chi tiết cách đặt u và dv trong nguyên hàm từng phần.
6. Giải mã các dạng toán thực tế thường gặp
Dạ́ng 1: Nguyên hàm của hàm phân thức hữu tỉ
Khi mẫu số là một hàm bậc nhất hoặc bậc hai có thể đưa về dạng hàm hợp, chúng ta sử dụng logarit tự nhiên để giải quyết.
Ví dụ minh họa cách tính nguyên hàm hàm phân thứcHình 6: Bài tập mẫu về cách xử lý tích phân hàm phân thức hữu tỉ.
Dạng 2: Biến đổi lượng giác phức tạp
Sử dụng đồng nhất thức để đưa các biểu thức tích về tổng, từ đó áp dụng công thức nguyên hàm hàm hợp cho từng thành phần.
Phương pháp tìm nguyên hàm cho hàm số lượng giác bậc caoHình 7: Cách biến đổi tích phân thành tổng để dễ dàng tính toán.
Ví dụ thực tế về nguyên hàm lượng giác phối hợp hàm hợpHình 8: Lời giải chi tiết một bài toán lượng giác khó trong đề thi.
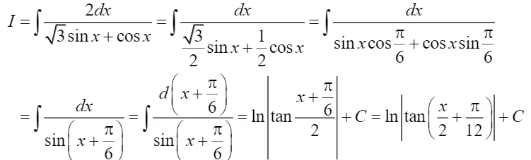
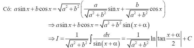
Dạng 3: Hàm số chứa tham số ở mẫu
Với các dạng bài $int frac{dx}{asinx + bcosx}$, kỹ thuật đặt $t = tan(x/2)$ dựa trên công thức lượng giác tan là một dạng biến đổi mạnh mẽ để áp dụng công thức nguyên hàm hàm hợp.
Kỹ thuật đặt ẩn phụ cho hàm lượng giác chứa cả sin và cosHình 9: Phương pháp giải dạng toán tích phân lượng giác tổng quát.
Ví dụ minh họa cho dạng bài chứa tham số lượng giácHình 10: Từng bước giải quyết bài toán tìm họ nguyên hàm cụ thể.
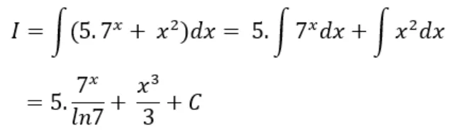
7. Lưu ý đặc biệt về nguyên hàm hàm số mũ và logarit
Hàm số mũ $e^{u(x)}$ là một trong những dạng bài “dễ ăn điểm” nhất nếu bạn nắm vững công thức nguyên hàm hàm hợp. Nhớ rằng $int e^u du = e^u + C$.
Bảng công thức nguyên hàm dành riêng cho hàm số mũ và logaritHình 11: Lưu ý các hệ số khi tính nguyên hàm hàm mũ.
Mẹo giải nhanh 2026: Đối với hàm $a^{ux}$, luôn nhớ chia cho $ln(a)$ bên cạnh việc xử lý vi phân cho $u(x)$. Sai lầm phổ biến nhất là nhầm lẫn giữa nguyên hàm và đạo hàm của hàm mũ (nhầm giữa nhân và chia cho $ln(a)$).
Ví dụ thực hiện nguyên hàm cho hàm số mũ bậc nhấtHình 12: Phân tích đề bài và lựa chọn phương pháp giải tối ưu.
Lời giải chi tiết bài toán hàm mũ trắc nghiệmHình 13: Kết quả cuối cùng và cách kiểm tra đáp án nhanh bằng máy tính cầm tay.
8. Kỹ thuật đổi biến số (Đặt ẩn phụ) nâng cao
Đây là linh hồn của việc áp dụng công thức nguyên hàm hàm hợp cho các bài toán lấy điểm 9, 10. Có hai hướng tư duy chính:
- Hướng thuận: Đặt $u = varphi(x)$ khi thấy đạo hàm của nó xuất hiện.
- Hướng nghịch (Lượng giác hóa): Đặt $x = sin(t)$ hoặc $x = tan(t)$ cho các biểu thức chứa căn thức đặc biệt như $sqrt{a^2 – x^2}$.
Phương pháp đặt ẩn phụ dạng căn thức phức tạpHình 14: Kỹ thuật lượng giác hóa để đơn giản hóa biểu thức dưới dấu căn.
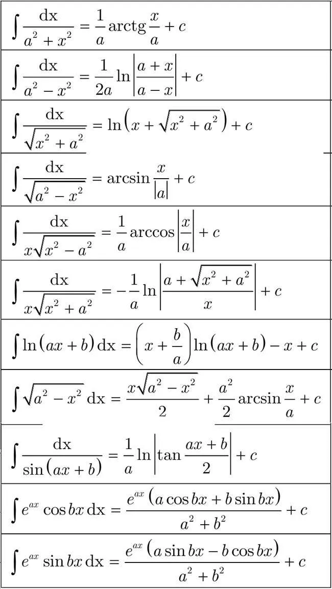
Ứng dụng đổi biến số cho hàm đa thức bậc caoHình 15: Cách xử lý hàm hợp khi đa thức có mũ số lớn.
Làm chủ công thức nguyên hàm hàm hợp không chỉ giúp bạn giải quyết bài toán hiện tại mà còn là nền tảng vững chắc để học tốt chương Tích phân và Ứng dụng sau này. Với lộ trình học tập bài bản năm 2026, hãy kiên trì luyện tập từ các dạng cơ bản để hình thành phản xạ toán học tinh tế. Sự chính xác trong từng bước biến đổi đạo hàm hàm hợp và vi phân sẽ giúp bạn đạt được kết quả cao nhất trong kỳ thi THPT sắp tới. Chúc các bạn ôn tập hiệu quả và chinh phục thành công mọi bài toán giải tích 12!
Ngày cập nhật mới nhất 02/03/2026 by Chef Kim
Chef Kim là người phụ trách phát triển hương vị và nội dung ẩm thực tại Korea House – Delivery Korea Food. Với kinh nghiệm trực tiếp trong bếp và sự am hiểu các món ăn Hàn Quốc quen thuộc, Chef Kim tập trung chia sẻ cách chế biến đơn giản, nguyên liệu dễ tìm và hương vị phù hợp khẩu vị người Việt, dựa trên quá trình nấu thử và phản hồi thực tế từ khách hàng.
