Chào bạn, tôi là Chef Kim từ đội ngũ nội dung của Korea House. Dù chuyên môn chính của chúng tôi là nghệ thuật ẩm thực Hàn Quốc, nhưng tư duy khoa học và sự chính xác trong từng định lượng luôn là nền tảng cốt yếu của một “bếp trưởng” thực thụ.
Trong Vật lý học, có một khái niệm quan trọng không kém gì công thức phối trộn gia vị: đó chính là công thức vạn vật hấp dẫn. Hiểu rõ quy luật này không chỉ giúp các bạn học sinh lớp 10 chinh phục điểm số cao, mà còn giúp chúng ta thấu hiểu cách vũ trụ — và cả những vật thể nhỏ nhất — vận hành và tác động lẫn nhau. Bài viết này được hiệu đính cho chương trình học mới năm 2026, đảm bảo tính đầy đủ và trực quan nhất.
1. Bản chất của lực hấp dẫn trong vũ trụ
Lực hấp dẫn là loại lực hút tồn tại giữa mọi vật có khối lượng. Cho dù đó là sự tương tác giữa hai hành tinh khổng lồ hay đơn giản là lực hút giữa hai người đứng cạnh nhau, tất cả đều tuân theo một quy luật thống nhất do Newton tìm ra.
Định luật vạn vật hấp dẫn phát biểu rằng: Lực hấp dẫn giữa hai chất điểm bất kỳ tỉ lệ thuận với tích khối lượng của chúng và tỉ lệ nghịch với bình phương khoảng cách giữa tâm của chúng. Điều này có nghĩa là khối lượng càng lớn, lực hút càng mạnh; nhưng khoảng cách càng xa, lực hút sẽ giảm đi rất nhanh theo cấp số nhân.
2. Chi tiết công thức vạn vật hấp dẫn và các thông số
Để giải quyết các bài toán Vật lý 10, bạn cần ghi nhớ nằm lòng biểu thức đại số và các đơn vị đi kèm. Đây là nền tảng để tính toán quỹ đạo vệ tinh, trọng trường của Trái đất và các hành tinh khác.
Hình 1: Biểu thức toán học cơ bản của định luật vạn vật hấp dẫn Newton.
Bảng thành phần công thức (Thông số kỹ thuật)
| Ký hiệu | Tên gọi thông số | Đơn vị đo lường (SI) | Vai trò trong hệ thức |
|---|---|---|---|
| $F_{hd}$ | Lực hấp dẫn | Newton (N) | Kết quả tương tác giữa 2 vật |
| $m_1, m_2$ | Khối lượng hai vật | Kilogam (kg) | Tỉ lệ thuận với độ lớn của lực |
| $r$ | Khoảng cách tâm | Mét (m) | Tỉ lệ nghịch (bình phương) |
| $G$ | Hằng số hấp dẫn | $N.m^2/kg^2$ | Giá trị cố định: $6,67 cdot 10^{-11}$ |
Đơn vị tính trong công thức vạn vật hấp dẫnHình 2: Cách xác định đơn vị đo lường chuẩn xác cho từng đại lượng.
Hệ thức tính lực hấp dẫn chi tiếtHình 3: Biểu thức định luật vạn vật hấp dẫn được triển khai trong chương trình 2026.
Mẹo nhỏ từ Chef Kim: Để không bị nhầm lẫn trong phòng thi, hãy nhớ rằng lực hấp dẫn là một lực “yếu” về bản chất trừ khi khối lượng vật thể đạt mức cực lớn như hành tinh. Vì vậy hằng số $G$ có số mũ âm rất nhỏ ($-11$). Khi bấm máy tính, hãy kiểm tra kỹ đơn vị của $r$ là mét (m), nếu đề bài cho km hay cm, bạn buộc phải đổi về m trước khi áp dụng công thức vạn vật hấp dẫn.
3. Ứng dụng mở rộng của công thức vạn vật hấp dẫn
Một trong những ứng dụng quan trọng nhất của công thức vạn vật hấp dẫn là xác định trọng pháp (gia tốc trọng trường $g$) tại các độ cao khác nhau so với mực nước biển.
Mở rộng kiến thức định luật hấp dẫnHình 4: Các trường hợp đặc biệt và ứng dụng thực tiễn của định luật.
Theo Isaac Newton, trọng lực mà chúng ta cảm nhận hàng ngày thực chất là lực hấp dẫn giữa Trái đất và vật thể đó. Chúng ta có hệ thức tính trọng lượng $P$ như sau:
Hình 5: Mối quan hệ giữa trọng lượng và lực hấp dẫn của Trái Đất.
Trong đó:
- $M, R$: Lần lượt là khối lượng và bán kính Trái Đất.
- $h$: Độ cao của vật so với mặt đất.
Từ đó, gia tốc rơi tự do tại độ cao $h$ được tính bằng:
Hình 6: Biểu thức tính g phụ thuộc vào độ cao.
Và tại sát mặt đất ($h approx 0$):
Hình 7: Gia tốc g chuẩn tại bề mặt Trái Đất.
Tips thực tế: Tại sao trọng lượng của bạn ở đỉnh núi Fansipan lại nhẹ hơn một chút so với khi ở bờ biển? Chính vì giá trị $h$ càng tăng thì mẫu số của công thức vạn vật hấp dẫn ($R+h$) càng lớn, dẫn đến lực hút giảm đi. Tuy nhiên, sự khác biệt này rất nhỏ, chỉ đáng kể khi bạn bay ra ngoài vũ trụ hoặc ở trên các trạm không gian.
Thông số Trái đất chuẩnHình 8: Các hằng số vật lý của Trái Đất thường dùng trong bài tập.
4. Ví dụ minh họa và giải chi tiết
Để làm chủ công thức vạn vật hấp dẫn, chúng ta hãy cùng đi qua hai bài toán kinh điển thường xuất hiện trong các đề kiểm tra định kỳ năm 2026.
Bài 1: Thay đổi khối lượng và tính lực tương ứng
Đề bài: Hai khối cầu giống nhau đặt cách nhau khoảng $r$ có lực hấp dẫn là $F$. Nếu thay một khối cầu bằng khối cầu khác có bán kính lớn gấp hai, cùng chất và giữ nguyên khoảng cách, lực hấp dẫn mới là bao nhiêu?
Lời giải:
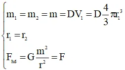
Ban đầu chúng ta có:
Lập luận tính lực hấp dẫn ban đầuHình 9: Thiết lập công thức ban đầu cho hai khối cầu.
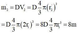
Khi thay đổi khối cầu thứ hai với bán kính $R’ = 2R$. Vì cùng chất nên thể tích tăng $2^3 = 8$ lần, dẫn đến khối lượng $m_2$ tăng 8 lần.
Biến đổi khối lượng theo bán kínhHình 10: Tỷ lệ khối lượng dựa trên thay đổi cấu trúc vật lý.
Áp dụng công thức vạn vật hấp dẫn mới:
Hình 11: Lực hấp dẫn sau khi thay đổi thông số khối lượng.
Đáp án: 8F (C).
Bài 2: Tính chiều cao ngọn núi dựa trên gia tốc rơi
Đề bài: Gia tốc rơi tự do ở đỉnh và chân núi lần lượt là $9,809 m/s^2$ và $9,810 m/s^2$. Biết chân núi cách tâm Trái Đất $6370 km$. Chiều cao núi là bao nhiêu?
Lời giải:
Dựa vào tỷ lệ nghịch giữa gia tốc và bình phương khoảng cách:
Lập tỷ lệ gia tốc trọng trườngHình 12: Biểu thức so sánh gia tốc tại hai độ cao khác nhau.
Hình 13: Bước trung gian giải phương trình tìm h.
Hình 14: Giá trị h cuối cùng tính theo mét.
Đáp án: 324,7 m (A).
Tổng kết phương pháp giải bài tậpHình 15: Mô hình hóa bài toán tính lực hấp dẫn và gia tốc.
5. Tổng hợp bài tập tự luyện nâng cao 2026
Dưới đây là danh sách các bài tập giúp bạn rèn luyện phản xạ với công thức vạn vật hấp dẫn. Hãy đảm bảo bạn đã nắm vững cách đổi đơn vị trước khi tính toán.
- Bài 1: Một vật 8 kg trượt trên mặt phẳng nghiêng với gia tốc $2 m/s^2$. So sánh lực gây ra gia tốc này với trọng lực (lấy $g = 10 m/s^2$).
- Bài 2: Hai tàu thủy 50.000 tấn cách nhau 1 km. Lực hấp dẫn giữa chúng có lớn hơn trọng lượng một quả cân 20g không?
- Bài 3: Xác định lực hấp dẫn lớn nhất có thể có giữa hai quả cầu 500 kg, bán kính 50 cm. (Lưu ý: Lực lớn nhất khi chúng tiếp xúc nhau).
- Bài 4: Tại mặt đất, lực hút của Trái Đất lên vật là 45N. Ở độ cao h nào thì lực này chỉ còn 5N?
- Bài 5: Hai vật 20 kg và 40 kg đặt cách nhau 60 m. Áp dụng trực tiếp công thức vạn vật hấp dẫn để tìm lực tương tác.
- Bài 6: Một vật nặng 9N trên mặt đất. Khi đưa tới vị trí cách tâm Trái Đất 3R thì trọng lượng còn bao nhiêu?
- Bài 7: Phi hành gia chịu trọng lực 700N tại mặt đất. Tại điểm cách tâm Trái Đất 5R, con số này thay đổi thế nào?
- Bài 8: Tìm độ cao h để lực hút giảm từ 45N xuống 5N, biết bán kính R.
- Bài 9: Vật 1kg ở mặt đất nặng 10N. Ở khoảng cách 2R so với tâm Trái Đất, trọng lượng vật là bao nhiêu?
- Bài 10: So sánh lực hấp dẫn của hai tàu 100.000 tấn cách nhau 0,5 km với trọng lượng quả cân 50g.
Nắm chắc công thức vạn vật hấp dẫn không chỉ là việc ghi nhớ các con số, mà là hiểu về sự kết nối không thể tách rời của mọi vật thể trong vũ trụ này. Giống như trong nấu ăn, khi ta hiểu rõ đặc tính của từng nguyên liệu, ta sẽ tạo ra được những món ăn tuyệt hảo. Chúc các bạn học tập thật tốt và đạt kết quả cao trong các kỳ thi sắp tới!
Ngày cập nhật mới nhất 02/03/2026 by Chef Kim
Chef Kim là người phụ trách phát triển hương vị và nội dung ẩm thực tại Korea House – Delivery Korea Food. Với kinh nghiệm trực tiếp trong bếp và sự am hiểu các món ăn Hàn Quốc quen thuộc, Chef Kim tập trung chia sẻ cách chế biến đơn giản, nguyên liệu dễ tìm và hương vị phù hợp khẩu vị người Việt, dựa trên quá trình nấu thử và phản hồi thực tế từ khách hàng.
