Đường trung tuyến là một trong những yếu tố cơ bản nhất khi nghiên cứu hình học tam giác. Việc nắm vững công thức tính độ dài đường trung tuyến không chỉ giúp giải quyết bài toán nhanh chóng mà còn mở ra nhiều ứng dụng thực tế trong chứng minh hình học và tính toán kỹ thuật.
Đường trung tuyến là gì?
Trong tam giác ABC, đường trung tuyến từ đỉnh A là đoạn thẳng nối đỉnh A với trung điểm M của cạnh đối diện BC. Mỗi tam giác có ba đường trung tuyến, và chúng luôn cắt nhau tại một điểm gọi là trọng tâm G.
Điểm đặc biệt: Trọng tâm G chia mỗi đường trung tuyến theo tỷ lệ 2:1, tính từ đỉnh xuống cạnh đối diện.
Công thức tính độ dài đường trung tuyến
Công thức tính độ dài đường trung tuyến trong tam giác
Cho tam giác ABC với các cạnh BC = a, CA = b, AB = c. Gọi m_a, m_b, m_c lần lượt là độ dài các đường trung tuyến kẻ từ đỉnh A, B, C. Ta có:
Các công thức trung tuyến cụ thể
Giải thích công thức:
- Tử số: Tổng bình phương hai cạnh kề đỉnh xuất phát trừ đi một nửa bình phương cạnh đối diện
- Mẫu số: Luôn là 2
- Kết quả: Lấy căn bậc hai để được độ dài thực tế
Cách áp dụng công thức vào bài toán cụ thể
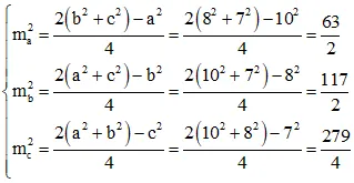
Bài toán 1: Tam giác thường
Cho tam giác ABC có BC = 10 cm, CA = 8 cm, AB = 7 cm. Tính độ dài các đường trung tuyến.
Minh họa bài toán tam giác thường
Lời giải:
Áp dụng công thức trung tuyến:
Vì độ dài đường trung tuyến luôn dương nên ta lấy giá trị dương của căn bậc hai.
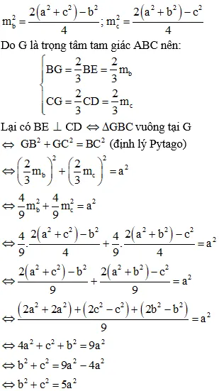
Bài toán 2: Chứng minh hai trung tuyến vuông góc
Cho tam giác ABC có BC = a, CA = b, AB = c. Chứng minh rằng nếu b² + c² = 5a² thì hai trung tuyến kẻ từ B và C vuông góc với nhau.
Hình vẽ minh họa
Phân tích:
Gọi D, E lần lượt là trung điểm của AB và AC, G là trọng tâm tam giác ABC. Đặt BE = m_b, CD = m_c.
Các bước chứng minh
Áp dụng công thức trung tuyến và tính toán, ta có thể chứng minh được hai trung tuyến vuông góc khi thỏa mãn điều kiện đã cho.
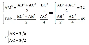
Bài toán 3: Tìm độ dài cạnh khi biết trung tuyến
Tam giác ABC có AB = 3, BC = 5 và độ dài đường trung tuyến từ B bằng √19. Tính AC.
Các đáp án:
- A. 4
- B. 6
- C. 8
- D. 10
Hình vẽ bài toán
Lời giải:
BM là trung tuyến từ B, áp dụng công thức:
Tính toán chi tiết
Đáp án: B
Tính chất đặc biệt của đường trung tuyến
Trong tam giác cân
Khi tam giác ABC cân tại A, đường trung tuyến AM từ đỉnh A xuống cạnh đáy BC có tính chất đặc biệt:
- AM đồng thời là đường cao
- AM đồng thời là đường phân giác
- AM vuông góc với BC tại trung điểm M
Ví dụ: Tam giác ABC cân tại A có AB = AC = 10 cm, BC = 12 cm. Tính AM.
Do AM là đường cao nên BM = MC = 6 cm. Áp dụng định lý Pythagore:
- AC² = AM² + MC²
- AM = √(10² – 6²) = 8 cm
Trong tam giác vuông
Với tam giác ABC vuông tại A, trung tuyến AM từ đỉnh góc vuông xuống cạnh huyền BC có tính chất:
- AM = BM = MC = BC/2
- Độ dài trung tuyến bằng một nửa cạnh huyền
Bài toán: Tam giác ABC vuông tại A có trung tuyến AM = 6 cm và BN = 9 cm. Tính AB.
Bài toán tam giác vuông
Vì AM = 6 cm nên BC = 12 cm. Áp dụng công thức trung tuyến và định lý Pythagore để tìm AB.
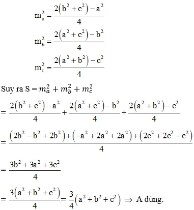
Công thức tổng bình phương trung tuyến
Một công thức quan trọng khác là tổng bình phương các đường trung tuyến:
Cho tam giác ABC với BC = a, CA = b, AB = c. Gọi S = m_a² + m_b² + m_c². Khi đó:
Kết quả công thức tổng
Đáp án: A
Mẹo ghi nhớ: Tổng bình phương ba trung tuyến bằng 3/4 tổng bình phương ba cạnh. Công thức này rất hữu ích khi cần kiểm tra tính hợp lệ của một tam giác hoặc chứng minh các bất đẳng thức hình học.
Bài tập thực hành
Bài 1: Tam giác MNP cân tại M có MN = MP = 17 cm, NP = 16 cm. Kẻ trung tuyến MI.
- Chứng minh MI ⊥ NP
- Tính độ dài MI
Bài 2: Tam giác MNP có NP = 20 cm, PM = 16 cm, MN = 14 cm. Tính độ dài các đường trung tuyến.
Bài 3: Tam giác ABC có a = 6 cm, b = 8 cm, c = 10 cm. Tính độ dài các đường trung tuyến.
Bài 4: Tam giác ABC vuông tại B có trung tuyến BM = 5 cm và CN = 7 cm. Tính BC.
Bài 5: Tính đường trung tuyến BM của tam giác ABC có góc ABC = 120°, BC = 5 cm, AB = 10 cm.
Công thức trung tuyến là công cụ mạnh mẽ trong hình học phẳng, giúp giải quyết nhiều dạng bài từ cơ bản đến nâng cao. Nắm vững công thức và biết cách áp dụng linh hoạt sẽ giúp bạn tự tin hơn khi đối mặt với các bài toán tam giác phức tạp.
Ngày cập nhật mới nhất 09/03/2026 by Chef Kim
Chef Kim là người phụ trách phát triển hương vị và nội dung ẩm thực tại Korea House – Delivery Korea Food. Với kinh nghiệm trực tiếp trong bếp và sự am hiểu các món ăn Hàn Quốc quen thuộc, Chef Kim tập trung chia sẻ cách chế biến đơn giản, nguyên liệu dễ tìm và hương vị phù hợp khẩu vị người Việt, dựa trên quá trình nấu thử và phản hồi thực tế từ khách hàng.
