Công Thức Phương Trình Mặt Cầu: Hướng Dẫn Chi Tiết & Bài Tập Thực Hành

Phương trình mặt cầu là một trong những kiến thức nền tảng của hình học không gian lớp 12. Bài viết này sẽ giúp bạn nắm vững lý thuyết, công thức tính toán, và phương pháp giải các dạng bài tập phổ biến nhất.

Định Nghĩa Mặt Cầu Trong Không Gian

Mặt cầu là tập hợp các điểm trong không gian cách đều một điểm cố định (gọi là tâm) một khoảng không đổi (gọi là bán kính). Về mặt hình học, mặt cầu cũng có thể được tạo ra bằng cách quay một đường tròn quanh đường kính của nó.

Minh họa mặt cầu trong không gian OxyzMinh họa mặt cầu trong không gian OxyzHình ảnh minh họa mặt cầu với tâm I và bán kính R trong hệ tọa độ Oxyz

Các Dạng Phương Trình Mặt Cầu

Phương Trình Tổng Quát

Cho mặt cầu (S) có tâm I(a; b; c) và bán kính R trong không gian Oxyz. Phương trình tổng quát có dạng:

x² + y² + z² – 2ax – 2by – 2cz + d = 0

Trong đó: R² = a² + b² + c² – d

Điều kiện để phương trình trên là mặt cầu: a² + b² + c² – d > 0

Phương Trình Chính Tắc

Khi biết rõ tâm I(a; b; c) và bán kính R, phương trình mặt cầu có dạng đơn giản hơn:

(x – a)² + (y – b)² + (z – c)² = R²

Đây là dạng phương trình trực quan nhất, thể hiện rõ ràng mối quan hệ khoảng cách từ một điểm bất kỳ trên mặt cầu đến tâm.

Vị Trí Tương Đối Giữa Mặt Cầu Và Mặt Phẳng

Cho mặt cầu (S) tâm I, bán kính R và mặt phẳng (P). Gọi d là khoảng cách từ I đến (P):

  • d > R: Mặt phẳng không cắt mặt cầu
  • d = R: Mặt phẳng tiếp xúc mặt cầu tại một điểm (tiếp diện)
  • d < R: Mặt phẳng cắt mặt cầu theo một đường tròn

Mẹo từ Chef Kim: Khi mặt phẳng tiếp xúc mặt cầu, điểm tiếp xúc H chính là hình chiếu vuông góc của tâm I lên mặt phẳng. Vector IH là vector pháp tuyến của mặt phẳng tiếp diện.

6 Dạng Bài Tập Phương Trình Mặt Cầu Thường Gặp

Dạng 1: Biết Tâm Và Bán Kính

Phương pháp: Áp dụng trực tiếp công thức chính tắc.

Ví dụ: Cho đường kính AB với A(2; 1; 3) và B(0; -3; 1). Viết phương trình mặt cầu.

Lời giải:

  • Tâm I là trung điểm AB: I(1; -1; 2)
  • Bán kính R = IA = √[(2-1)² + (1+1)² + (3-2)²] = √6
  • Phương trình: (x – 1)² + (y + 1)² + (z – 2)² = 6

Ví dụ tính toán phương trình mặt cầuVí dụ tính toán phương trình mặt cầuMinh họa cách xác định tâm và bán kính từ hai điểm đường kính

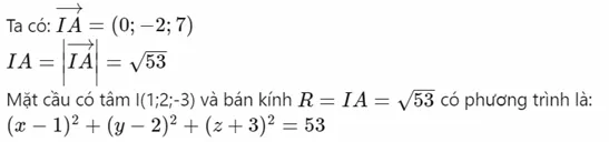
Dạng 2: Biết Tâm Và Một Điểm Thuộc Mặt Cầu

Phương pháp: Tính bán kính bằng khoảng cách từ tâm đến điểm đã cho.

Ví dụ: Mặt cầu (S) có tâm I(1; 2; -3) và đi qua A(1; 0; 4).

Lời giải:

  • R = IA = √[(1-1)² + (0-2)² + (4+3)²] = √53
  • Phương trình: (x – 1)² + (y – 2)² + (z + 3)² = 53

Tính bán kính từ tâm đến điểmTính bán kính từ tâm đến điểmCách tính khoảng cách IA để xác định bán kính

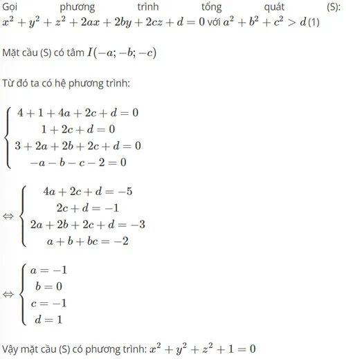
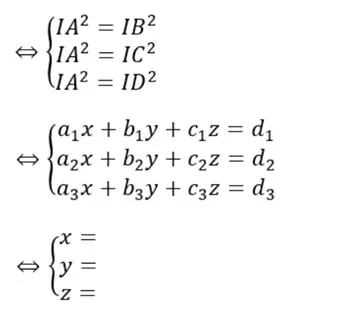
Dạng 3: Mặt Cầu Ngoại Tiếp Tứ Diện

Phương pháp:

  1. Gọi I(x; y; z) là tâm mặt cầu
  2. Lập hệ phương trình: IA = IB = IC = ID
  3. Giải hệ tìm tọa độ I, sau đó tính R

Phương pháp giải mặt cầu ngoại tiếpPhương pháp giải mặt cầu ngoại tiếpSơ đồ lập hệ phương trình cho mặt cầu ngoại tiếp tứ diện

Ví dụ: Cho tứ diện ABCD với A(6; -2; 3), B(0; 1; 6), C(2; 0; -1), D(4; 1; 0).

Lời giải: Lập hệ IA² = IB² = IC² = ID² và giải để tìm tọa độ tâm I.

Bài giải mặt cầu ngoại tiếpBài giải mặt cầu ngoại tiếpChi tiết các bước giải hệ phương trình

Dạng 4: Qua Ba Điểm Và Tâm Thuộc Mặt Phẳng

Phương pháp:

  1. Gọi I(a; b; c) thuộc mặt phẳng (P)
  2. Lập hệ: I ∈ (P), IA = IB = IC
  3. Giải hệ 3 ẩn

Ví dụ: Cho A(2; 0; 1), B(1; 0; 0), C(1; 1; 1) và mặt phẳng (P): x + y + z – 2 = 0.

Giải hệ phương trình ba ẩnGiải hệ phương trình ba ẩnCác bước giải hệ để tìm tâm mặt cầu

Dạng 5: Qua Bốn Điểm

Phương pháp: Lập hệ 4 phương trình với 4 ẩn (a, b, c, d) từ phương trình tổng quát.

Ví dụ: Cho A(2; 0; 0), B(1; 3; 0), C(-1; 0; 3), D(1; 2; 3).

Hệ bốn phương trình bốn ẩnHệ bốn phương trình bốn ẩnLập và giải hệ phương trình để tìm các hệ số

Dạng 6: Có Đường Kính AB

Phương pháp:

  1. Tâm I là trung điểm AB
  2. Bán kính R = ½|AB|
  3. Viết phương trình chính tắc

Ví dụ: Cho A(-2; 1; 0) và B(2; 3; -2).

Tính toán từ đường kínhTính toán từ đường kínhXác định tâm và bán kính từ hai đầu đường kính

Dạng Nâng Cao: Tìm Điều Kiện Tham Số

Cho phương trình chứa tham số m. Tìm m để phương trình là mặt cầu.

Điều kiện: a² + b² + c² – d > 0

Ví dụ: Tìm m để phương trình sau là mặt cầu:
x² + y² + z² – 2mx + 4y – 6z + m² – 5 = 0

Bài toán tìm tham sốBài toán tìm tham sốÁp dụng điều kiện để tìm giá trị m

Lời giải:

  • Từ phương trình: a = m, b = -2, c = 3, d = m² – 5
  • Điều kiện: m² + 4 + 9 – (m² – 5) > 0
  • Kết quả: 18 > 0 (luôn đúng) → mọi giá trị m đều thỏa mãn

Bí quyết: Khi gặp bài toán phức tạp với nhiều điểm, hãy ưu tiên phương pháp lập hệ phương trình. Sử dụng máy tính cầm tay để giải hệ nhanh chóng và chính xác.

Tổng Kết

Phương trình mặt cầu có hai dạng chính: tổng quát và chính tắc. Nắm vững công thức tính bán kính và phương pháp lập hệ phương trình sẽ giúp bạn giải quyết mọi dạng bài tập từ cơ bản đến nâng cao. Luyện tập thường xuyên với các dạng toán khác nhau để thành thạo kỹ năng này.

Ngày cập nhật mới nhất 12/03/2026 by Chef Kim

Để lại một bình luận

Email của bạn sẽ không được hiển thị công khai. Các trường bắt buộc được đánh dấu *