công thức lượng giác lớp 10Tổng hợp các công thức lượng giác cơ bản lớp 10
Công thức lượng giác lớp 10 là nền tảng toán học quan trọng xuyên suốt chương trình THPT. Nội dung này xuất hiện thường xuyên trong đề thi THPT Quốc gia, đề kiểm tra định kỳ, và là công cụ giải quyết nhiều bài toán hình học, giải tích. Bài viết này tổng hợp đầy đủ các công thức từ cơ bản đến nâng cao, kèm mẹo ghi nhớ hiệu quả và phân tích 7 dạng bài tập điển hình.
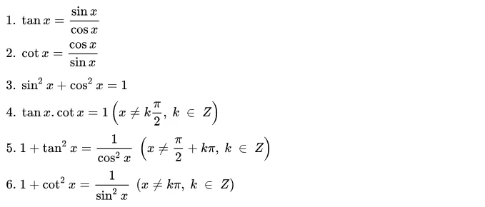
Công Thức Lượng Giác Cơ Bản Lớp 10
Đây là nhóm công thức nền tảng mà học sinh cần thuộc nằm lòng:
công thức lượng giác lớp 10Các công thức lượng giác cơ bản (sin²α + cos²α = 1, tan·cot = 1, 1 + tan² = 1/cos², 1 + cot² = 1/sin²)
Hệ thức cơ bản:
- sin²α + cos²α = 1
- tan α = sin α / cos α
- cot α = cos α / sin α = 1 / tan α
- 1 + tan²α = 1/cos²α
- 1 + cot²α = 1/sin²α
Công Thức Cộng Lượng Giác
công thức lượng giác lớp 10Công thức cộng sin, cos, tan
Sin và cos của tổng/hiệu:
- sin(α + β) = sin α cos β + cos α sin β
- sin(α – β) = sin α cos β – cos α sin β
- cos(α + β) = cos α cos β – sin α sin β
- cos(α – β) = cos α cos β + sin α sin β
Tan của tổng/hiệu:
- tan(α + β) = (tan α + tan β) / (1 – tan α tan β)
- tan(α – β) = (tan α – tan β) / (1 + tan α tan β)
Công Thức Nhân Đôi, Nhân Ba, Nhân Bốn
Công thức nhân đôi:
công thức lượng giác lớp 10Công thức nhân đôi (sin 2α = 2sin α cos α, cos 2α = cos²α – sin²α)
- sin 2α = 2 sin α cos α
- cos 2α = cos²α – sin²α = 2cos²α – 1 = 1 – 2sin²α
- tan 2α = 2tan α / (1 – tan²α)
Công thức nhân ba:
công thức lượng giác lớp 10Công thức nhân ba (sin 3α = 3sin α – 4sin³α, cos 3α = 4cos³α – 3cos α)
- sin 3α = 3sin α – 4sin³α
- cos 3α = 4cos³α – 3cos α
- tan 3α = (3tan α – tan³α) / (1 – 3tan²α)
Công thức nhân bốn:
công thức lượng giác lớp 10Công thức nhân bốn góc
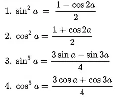
Công Thức Hạ Bậc
công thức lượng giác lớp 10Công thức hạ bậc sin²α, cos²α, tan²α
- sin²α = (1 – cos 2α) / 2
- cos²α = (1 + cos 2α) / 2
- tan²α = (1 – cos 2α) / (1 + cos 2α)
- sin³α = (3sin α – sin 3α) / 4
- cos³α = (3cos α + cos 3α) / 4
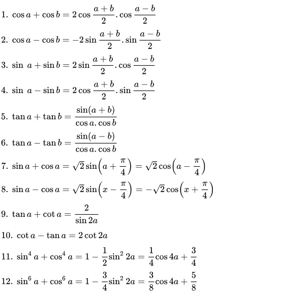
Công Thức Biến Đổi Tổng Thành Tích
công thức lượng giác lớp 10Công thức biến đổi tổng thành tích
- cos α + cos β = 2 cos[(α+β)/2] cos[(α-β)/2]
- cos α – cos β = -2 sin[(α+β)/2] sin[(α-β)/2]
- sin α + sin β = 2 sin[(α+β)/2] cos[(α-β)/2]
- sin α – sin β = 2 cos[(α+β)/2] sin[(α-β)/2]
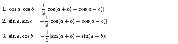
Công Thức Biến Đổi Tích Thành Tổng
công thức lượng giác lớp 10Công thức biến đổi tích thành tổng
- cos α cos β = [cos(α-β) + cos(α+β)] / 2
- sin α sin β = [cos(α-β) – cos(α+β)] / 2
- sin α cos β = [sin(α+β) + sin(α-β)] / 2
Công Thức Cung Liên Kết
Hai góc đối nhau:
- sin(-α) = -sin α
- cos(-α) = cos α
- tan(-α) = -tan α
- cot(-α) = -cot α
Hai góc bù nhau (π – α):
- sin(π – α) = sin α
- cos(π – α) = -cos α
- tan(π – α) = -tan α
- cot(π – α) = -cot α
Hai góc phụ nhau (π/2 – α):
- sin(π/2 – α) = cos α
- cos(π/2 – α) = sin α
- tan(π/2 – α) = cot α
- cot(π/2 – α) = tan α
Hai góc hơn kém π:
- sin(π + α) = -sin α
- cos(π + α) = -cos α
- tan(π + α) = tan α
- cot(π + α) = cot α
Hai góc hơn kém π/2:
- sin(π/2 + α) = cos α
- cos(π/2 + α) = -sin α
- tan(π/2 + α) = -cot α
- cot(π/2 + α) = -tan α
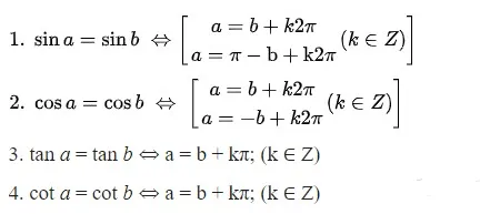
Nghiệm Phương Trình Lượng Giác Cơ Bản
công thức lượng giác lớp 10Nghiệm của các phương trình lượng giác cơ bản
Phương trình cơ bản:
- sin x = sin α ⇔ x = α + k2π hoặc x = π – α + k2π (k ∈ ℤ)
- cos x = cos α ⇔ x = ±α + k2π (k ∈ ℤ)
- tan x = tan α ⇔ x = α + kπ (k ∈ ℤ)
- cot x = cot α ⇔ x = α + kπ (k ∈ ℤ)
công thức lượng giác lớp 10Nghiệm của phương trình lượng giác đặc biệt
Bảng Giá Trị Lượng Giác Góc Đặc Biệt
công thức lượng giác lớp 10Bảng giá trị lượng giác các góc 0°, 30°, 45°, 60°, 90°
Dấu của giá trị lượng giác theo góc phần tư:
| Góc phần tư | I | II | III | IV |
|---|---|---|---|---|
| sin(x) | + | + | – | – |
| cos(x) | + | – | – | + |
| tan(x) | + | – | + | – |
| cot(x) | + | – | + | – |
Công Thức Lượng Giác Nâng Cao
Công Thức Đặc Biệt
công thức lượng giác lớp 10Các công thức lượng giác đặc biệt nâng cao
Hàm Lượng Giác Ngược
công thức lượng giác lớp 10Công thức hàm lượng giác ngược (arcsin, arccos, arctan)
Lượng Giác Số Phức
công thức lượng giác lớp 10Công thức Euler và lượng giác số phức
Tích Phân Hàm Lượng Giác
công thức lượng giác lớp 10Tích phân các hàm lượng giác cơ bản
Công Thức Trong Tam Giác
công thức lượng giác lớp 10Định lý sin, định lý cos, công thức diện tích tam giác
Định lý sin: a/sin A = b/sin B = c/sin C = 2R
Định lý cos: a² = b² + c² – 2bc cos A
Diện tích: S = (1/2)ab sin C = (abc)/(4R) = pr (với p là nửa chu vi, r là bán kính đường tròn nội tiếp)
Mẹo Ghi Nhớ Công Thức Lượng Giác
công thức lượng giác lớp 10Các mẹo ghi nhớ công thức lượng giác hiệu quả
Thơ Nhớ Công Thức Cộng
“Cos + cos = 2 cos cos
cos trừ cos = trừ 2 sin sin
Sin + sin = 2 sin cos
sin trừ sin = 2 cos sin”
Thơ Nhớ Công Thức Nhân Đôi
“Sin gấp đôi bằng 2 sin cos
Cos gấp đôi bằng bình cos trừ bình sin
Tang đôi ta lấy đôi tang
Chia 1 trừ lại bình tang, xong liền”
Thơ Nhớ Tam Giác Vuông
“Sao đi học (sin = đối/huyền)
Cứ khóc hoài (cos = kề/huyền)
Thôi đừng khóc (tan = đối/kề)
Có kẹo đây (cot = kề/đối)”
Mẹo Nhớ Công Thức Biến Đổi Tích Thành Tổng
“Cos cos nửa cos-cộng cộng cos-trừ
Sin sin nửa cos-trừ trừ cos-cộng
Sin cos nửa sin-cộng cộng sin-trừ”
7 Dạng Bài Tập Công Thức Lượng Giác Lớp 10
công thức lượng giác lớp 10Phân loại các dạng bài tập lượng giác phổ biến
Dạng 1: Tính Giá Trị Lượng Giác Khi Biết Một Giá Trị
Phương pháp: Sử dụng hệ thức cơ bản sin²α + cos²α = 1 hoặc 1 + tan²α = 1/cos²α. Xác định dấu dựa vào góc phần tư.
Ví dụ: Cho sin α = 3/5 với π/2 < α < π. Tính cos α, tan α.
Lời giải:
- cos²α = 1 – sin²α = 1 – 9/25 = 16/25
- Vì π/2 < α < π nên cos α < 0 → cos α = -4/5
- tan α = sin α / cos α = (3/5) / (-4/5) = -3/4
Dạng 2: Chứng Minh Biểu Thức Lượng Giác
Phương pháp: Biến đổi một vế thành vế kia bằng các công thức lượng giác và hằng đẳng thức đại số.
Ví dụ: Chứng minh: (sin x + cos x)² = 1 + sin 2x
Lời giải:
- VT = sin²x + 2sin x cos x + cos²x
- = (sin²x + cos²x) + 2sin x cos x
- = 1 + sin 2x = VP
Dạng 3: Rút Gọn Biểu Thức
Phương pháp: Áp dụng công thức biến đổi tổng thành tích, tích thành tổng, công thức nhân đôi để đơn giản hóa.
Ví dụ: Rút gọn A = sin 3x + sin x – 2sin 2x cos x
Lời giải:
- A = (sin 3x + sin x) – 2sin 2x cos x
- = 2sin 2x cos x – 2sin 2x cos x = 0
Dạng 4: Tính Giá Trị Biểu Thức
Phương pháp: Biến đổi về cùng biểu thức rồi thay giá trị đã cho.
Ví dụ: Cho tan α = 2. Tính A = (3sin α + 2cos α) / (sin α – cos α)
Lời giải:
- Chia cả tử và mẫu cho cos α:
- A = (3tan α + 2) / (tan α – 1) = (3·2 + 2) / (2 – 1) = 8
Dạng 5: Chứng Minh Biểu Thức Không Phụ Thuộc Biến
Phương pháp: Biến đổi biểu thức về hằng số bằng các công thức lượng giác.
Ví dụ: Chứng minh A = sin⁴x + cos⁴x + 2sin²x cos²x không phụ thuộc x.
Lời giải:
- A = (sin²x + cos²x)² = 1² = 1 (không phụ thuộc x)
Dạng 6: Tính Giá Trị Góc Đặc Biệt
Phương pháp: Sử dụng công thức cung liên kết và bảng giá trị lượng giác.
Ví dụ: Tính sin 15° = sin(45° – 30°)
Lời giải:
- sin 15° = sin 45° cos 30° – cos 45° sin 30°
- = (√2/2)(√3/2) – (√2/2)(1/2) = (√6 – √2)/4
Dạng 7: Bài Toán Trong Tam Giác
Phương pháp: Kết hợp định lý sin, định lý cos với các công thức lượng giác.
Ví dụ: Tam giác ABC có a = 5, b = 7, C = 60°. Tính c và diện tích.
Lời giải:
- c² = a² + b² – 2ab cos C = 25 + 49 – 2·5·7·(1/2) = 39 → c = √39
- S = (1/2)ab sin C = (1/2)·5·7·(√3/2) = 35√3/4
Lộ Trình Học Công Thức Lượng Giác Hiệu Quả
Bước 1: Nắm vững công thức cơ bản (sin²α + cos²α = 1, các hệ thức liên quan tan, cot).
Bước 2: Học thuộc công thức cộng, nhân đôi thông qua bài thơ.
Bước 3: Luyện tập 20-30 bài mỗi dạng để thành thạo biến đổi.
Bước 4: Tham gia diễn đàn toán học, trao đổi với bạn bè để hiểu sâu.
Mẹo thực chiến: Mỗi ngày giải 5 bài tập khác dạng, sau 2 tuần bạn sẽ thuộc lòng toàn bộ công thức lượng giác lớp 10 mà không cần học vẹt.
Nắm vững công thức lượng giác ngay từ lớp 10 sẽ tạo nền tảng vững chắc cho toán lớp 11, 12 và các kỳ thi quan trọng. Hãy luyện tập đều đặn và áp dụng các mẹo ghi nhớ để học hiệu quả nhất.
Ngày cập nhật mới nhất 09/03/2026 by Chef Kim
Chef Kim là người phụ trách phát triển hương vị và nội dung ẩm thực tại Korea House – Delivery Korea Food. Với kinh nghiệm trực tiếp trong bếp và sự am hiểu các món ăn Hàn Quốc quen thuộc, Chef Kim tập trung chia sẻ cách chế biến đơn giản, nguyên liệu dễ tìm và hương vị phù hợp khẩu vị người Việt, dựa trên quá trình nấu thử và phản hồi thực tế từ khách hàng.
