Trong nghệ thuật ẩm thực chuyên nghiệp tại Korea House, việc hiểu rõ các quy luật vật lý không chỉ giúp tối ưu quy trình nấu nướng mà còn đảm bảo an toàn lao động. Một trong những kiến thức nền tảng mà Chef Kim luôn chú trọng khi đào tạo phụ bếp chính là công thức ma sát trượt. Việc nắm vững công thức ma sát trượt giúp chúng ta hiểu tại sao một chiếc chảo chống dính tốt lại quan trọng, hay cách kiểm soát lực khi thái thịt bò Hanwoo để có những lát cắt hoàn hảo nhất vào năm 2026.
1. Khái niệm khoa học về hệ số ma sát trượt
Trong vật lý học ứng dụng, hệ số ma sát trượt là một đại lượng không đơn vị, biểu thị tỉ lệ giữa độ lớn của lực ma sát trượt và độ lớn của áp lực (lực pháp tuyến) tác dụng lên bề mặt tiếp xúc. Khi bạn đẩy một nồi hầm lớn trên mặt bếp bằng inox, lực cản mà bạn cảm nhận được chính là sự biểu hiện của công thức ma sát trượt.
Hệ số này không cố định mà phụ thuộc chặt chẽ vào bản chất vật liệu (thép, gốm, gỗ) và tình trạng bề mặt (khô, ướt, có dầu mỡ). Trong bếp ăn công nghiệp, việc kiểm soát công thức ma sát trượt trên sàn nhà là yếu tố sống còn để tránh tai nạn trơn trượt.
Định nghĩa chi tiết về hệ số ma sát trượt trong vật lýHình 1: Mô tả lực ma sát xuất hiện khi một vật chuyển động trên bề mặt
2. Công thức ma sát trượt và các biến số quan trọng
Để tính toán chính xác lực cản khi di chuyển các thiết bị bếp hoặc thao tác với dụng cụ, chúng ta sử dụng công thức ma sát trượt tiêu chuẩn. Đây là công thức nền tảng giúp các kỹ sư thiết kế dụng cụ nhà bếp tối ưu hóa bề mặt tiếp xúc.
Bảng giải thích các đại lượng trong công thức:
| Ký hiệu | Tên gọi đại lượng | Đơn vị tính | Vai trò trong nhà bếp |
|---|---|---|---|
| $mu_t$ | Hệ số ma sát trượt | Không có | Quyết định độ “trơn” của chảo hoặc sàn bếp |
| $N$ | Độ lớn phản lực (Áp lực) | Niutơn (N) | Trọng lượng của nồi, niêu hoặc áp lực tay ấn |
| $F_{mst}$ | Lực ma sát trượt | Niutơn (N) | Lực cản thực tế khi ta di chuyển vật dụng |
Chi tiết ký hiệu trong công thức vật lýHình 2: Các thành phần tạo nên lực ma sát trượt
3. Phân tích chuyên sâu và mở rộng kiến thức
Lực ma sát trượt luôn xuất hiện ngược hướng với vận tốc chuyển động. Trong kỹ thuật searing (áp chảo) thịt bò, việc hiểu công thức ma sát trượt giúp đầu bếp quyết định thời điểm lật thịt. Khi protein bắt đầu đông tụ và tách khỏi bề mặt chảo, hệ số ma sát thay đổi, cho phép miếng thịt “trượt” nhẹ nhàng thay vì bị dính chặt.
3.1. Trường hợp vật nằm trên mặt ngang
Khi bạn đặt một khay thức ăn lên bàn inox nằm ngang, áp lực $N$ lúc này chính bằng trọng lượng $P$ của vật. Lúc này, công thức ma sát trượt giúp ta xác định lực tối thiểu để bắt đầu đẩy khay đi một cách ổn định.
Lực ma sát trượt trên mặt phẳng nằm ngang
3.2. Khi tác động lực kéo xiên
Trong thực tế nấu nướng, chúng ta thường kéo các xe đẩy thức ăn theo một góc nghiêng $alpha$. Điều này làm thay đổi áp lực lên mặt sàn, từ đó thay đổi kết quả của công thức ma sát trượt.
Khi kéo vật lên với góc $alpha$, áp lực $N$ giảm xuống: $N = P – F_k cdot sinalpha$. Đây là lý do tại sao khi kéo xe đẩy hàng nặng, việc hơi nhấc tay lên một chút giúp xe di chuyển nhẹ nhàng hơn do giảm được lực pháp tuyến tác động lên trục bánh xe.
Sơ đồ lực khi kéo vật nghiêng
3.3. Vật trên mặt phẳng nghiêng
Trong các kho hàng thực phẩm có đường dốc, việc tính toán công thức ma sát trượt trên mặt nghiêng là bắt buộc để thiết kế gờ giảm tốc.
Lực ma sát trên mặt phẳng nghiêngHình 3: Phân tích trọng lực trên mặt nghiêng để tìm lực ma sát
Tại đây, áp lực được tính bằng $N = P cdot cosalpha$. Hệ số ma sát lúc này phải đủ lớn để hàng hóa không tự trượt xuống gây nguy hiểm.
4. Ví dụ minh họa áp dụng thực tế
Để giúp các bạn học sinh vật lý lớp 10 cũng như các đầu bếp tập sự hình dung rõ hơn, hãy cùng xem xét các bài toán mẫu vận dụng công thức ma sát trượt dưới đây.
Câu 1: Một chiếc nồi gang nặng 1kg đang đứng yên trên bếp. Đầu bếp tác dụng một lực $F = 5N$ hợp với phương ngang một góc $30^circ$. Sau 4 giây, nồi dịch chuyển được 4m. Tính hệ số ma sát giữa nồi và mặt bếp (lấy $g = 10m/s^2$).
Lời giải chi tiết:
Biểu diễn các lực tác dụng lên vật
Áp dụng định luật II Newton và công thức ma sát trượt:
- Chiếu lên trục Ox: $F cdot cosalpha – F_{ms} = m cdot a$ (1)
- Chiếu lên trục Oy: $N = P – F cdot sinalpha$ (2)
Từ dữ kiện quãng đường, ta tìm được gia tốc $a = 0.5m/s^2$. Thay vào hệ phương trình, ta tìm được hệ số ma sát trượt $mu approx 0.51$.
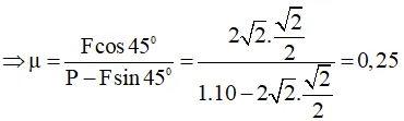
Câu 2: Một xe đẩy thức ăn nặng 1kg chuyển động thẳng đều trên sàn nhà. Lực kéo $2sqrt{2}N$ nghiêng góc $45^circ$. Tìm điều kiện để vật duy trì chuyển động ổn định với công thức ma sát trượt.
Lời giải: Để vật chuyển động thẳng đều, tổng lực tác dụng phải bằng 0 (gia tốc $a = 0$).
Tính toán lực kéo cho chuyển động thẳng đều
Kết quả hệ số ma sát cần thiết
5. Bí quyết từ Chef Kim: Ứng dụng ma sát trong nấu nướng
Dưới góc độ một đầu bếp chuyên nghiệp tại Korea House, công thức ma sát trượt không chỉ là những con số khô khan. Nó là “bí thuật” để xử lý nguyên liệu:
Mẹo nhỏ của Chef Kim 1: Khi thái cá sống để làm món Hoe (Sashimi kiểu Hàn), hãy làm ướt lưỡi dao bằng nước lạnh. Nước đóng vai trò là chất bôi trơn làm giảm hệ số ma sát trong công thức ma sát trượt, giúp lưỡi dao lướt qua các sợi cơ mà không làm nát thớ thịt, giữ trọn độ tinh khiết cho món ăn.
Mẹo nhỏ của Chef Kim 2: Để kiểm tra chất lượng chảo chống dính sau một thời gian sử dụng, tôi thường dùng “phép thử trượt quả trứng”. Nếu trứng ốp la không thể trượt dễ dàng khi nghiêng chảo một góc 15 độ, có nghĩa là lớp PTFE đã bị mòn, hệ số ma sát đã tăng lên do các vết xước vi mô, và đã đến lúc cần thay chảo mới để đảm bảo chất lượng món ăn.
Danh sách bài tập tự luyện nâng cao kiến thức Vật lý 10 (Cập nhật 2026):
- Xác định gia tốc của ô tô chở hàng thực phẩm nặng 200kg trên đường ngang với lực kéo 100N.
- Tính lực ma sát của toa tàu vận chuyển gạo khối lượng 80 tấn khi chạy thẳng đều.
- Bài toán thay đổi khối lượng trên xe lăn và sự biến thiên của lực ma sát.
- Tính lực kéo đầu máy toa xe 4 tấn với gia tốc thực tế.
- Bài toán hãm phanh khẩn cấp trên đường ray và quãng đường trượt còn lại.
- Xác định lực kéo tối thiểu để rút tờ giấy lót dưới bát canh mà không làm đổ nước.
- Tính lực kéo xiên để vật 800g trượt trên sàn với gia tốc chỉ định.
- Phân tích sự thay đổi khoảng cách khi tách toa xe lửa đang chuyển động.
- Độ giãn lớn nhất của lò xo đặt ngang trong hệ thống đóng gói tự động.
- Bài toán tổng hợp lực và hệ số ma sát cho vật trượt trên mặt phẳng nghiêng 30 độ.
Hiểu rõ công thức ma sát trượt không chỉ giúp các bạn đạt điểm cao trong môn Vật lý mà còn là hành trang quan trọng nếu muốn trở thành một đầu bếp chuyên nghiệp am hiểu khoa học thực phẩm, chẳng hạn như ứng dụng công thức nồng độ dung dịch. Hãy luôn quan sát những chuyển động nhỏ nhất trong gian bếp, bạn sẽ thấy vật lý hiện hữu ở khắp mọi nơi!
Ngày cập nhật mới nhất 03/03/2026 by Chef Kim
Chef Kim là người phụ trách phát triển hương vị và nội dung ẩm thực tại Korea House – Delivery Korea Food. Với kinh nghiệm trực tiếp trong bếp và sự am hiểu các món ăn Hàn Quốc quen thuộc, Chef Kim tập trung chia sẻ cách chế biến đơn giản, nguyên liệu dễ tìm và hương vị phù hợp khẩu vị người Việt, dựa trên quá trình nấu thử và phản hồi thực tế từ khách hàng.
