Trong toán học và cả trong nghệ thuật ẩm thực chính xác, việc tìm ra quy luật cốt lõi là chìa khóa để thành công. Việc xác định công thức số hạng tổng quát của dãy số không chỉ là một bài toán lý thuyết, mà còn là kỹ năng phân tích logic giúp chúng ta dự đoán được giá trị của bất kỳ số hạng nào trong tương lai mà không cần liệt kê thủ công.
Tại bếp ăn Korea House, Chef Kim luôn nhấn mạnh rằng: “Mọi hương vị ổn định đều bắt nguồn từ một công thức chuẩn”. Tương tự như vậy, một dãy số dù phức tạp đến đâu cũng luôn ẩn chứa một “công thức gốc” (số hạng tổng quát $u_n$). Bài viết này sẽ hướng dẫn bạn cách “chiết xuất” công thức đó thông qua các phương pháp từ cơ bản đến nâng cao, đảm bảo độ chính xác tuyệt đối như cách chúng tôi cân đong gia vị cho món Galbi truyền thống.
Bảng “nguyên liệu” cần thiết để xác định dãy số
Trước khi bắt tay vào giải bất kỳ bài toán nào, bạn cần chuẩn bị các thành phần cơ bản sau đây:
| Thành phần | Ký hiệu | Ý nghĩa trong công thức |
|---|---|---|
| Số hạng đầu | $u_1$ | Điểm xuất phát của toàn bộ dãy số. |
| Công sai/Công bội | $d$ hoặc $q$ | Tỷ lệ gia tăng hoặc nhân bản giữa các số hạng. |
| Chỉ số vị trí | $n$ | Vị trí của số hạng cần tìm ($n in mathbb{N}^$). |
| Số hạng tổng quát | $u_n$ | Mục tiêu cuối cùng – biểu thức tính theo $n$. |
| Hệ thức truy hồi | $u_{n+1} = f(u_n)$ | Mối liên hệ giữa số hạng đứng sau và số hạng đứng trước. |
Kỹ thuật “chế biến” công thức số hạng tổng quát của dãy số
Để chinh phục công thức số hạng tổng quát của dãy số, chúng ta thường áp dụng 3 kỹ thuật chính, giống như việc một đầu bếp chọn cách hầm, xào hay nướng tùy vào nguyên liệu có sẵn.
1. Phương pháp dự đoán và chứng minh quy nạp
Đây là cách phổ biến nhất khi bạn được cho một vài số hạng đầu hoặc một hệ thức truy hồi.
- Bước 1 (Sơ chế): Tính giá trị của 4-5 số hạng đầu tiên ($u_1, u_2, u_3, u_4, u_5$).
- Bước 2 (Nêm nếm): Quan sát mối quan hệ giữa giá trị số hạng và chỉ số $n$ để đưa ra dự đoán về công thức số hạng tổng quát của dãy số.
- Bước 3 (Hoàn thiện): Sử dụng phương pháp quy nạp toán học để chứng minh dự đoán đó luôn đúng với mọi $n$.
2. Phương pháp xác định quy luật dãy số cách đều
Nếu hiệu số giữa hai số hạng liên tiếp là một hằng số $d$ (cấp số cộng), công thức sẽ có dạng tuyến tính $u_n = u_1 + (n-1)d$. Nếu là cấp số nhân, công thức sẽ là $u_n = u_1 cdot q^{n-1}$.
3. Phương pháp sai phân và thế trực tiếp
Dành cho các dãy số có dạng tổng $u_n = a_1 + a_2 + dots + a_n$. Chúng ta sẽ biến đổi từng số hạng thành hiệu của hai giá trị để triệt tiêu các hạng tử trung gian, từ đó rút gọn biểu thức thành một công thức gọn gàng.
Mẹo nhỏ từ Chef Kim: “Khi bạn thấy các số hạng tăng rất nhanh, hãy nghĩ ngay đến lũy thừa hoặc giai thừa. Nếu dãy số xen kẽ âm dương, đừng quên đưa $(-1)^n$ hoặc $(-1)^{n+1}$ vào công thức của bạn.”
Ví dụ minh họa thực tế và lời giải chi tiết
Ví dụ 1: Tìm quy luật cho dãy số sau: 4; 8; 12; 16; 20; 24…
- Phân tích kỹ thuật: Ta thấy mỗi số hạng đều chia hết cho 4.
- $u_1 = 4 cdot 1$
- $u_2 = 4 cdot 2$
- $u_3 = 4 cdot 3$
- Kết quả:công thức số hạng tổng quát của dãy số là $u_n = 4n$.
Ví dụ 2: Cho dãy số có các số hạng đầu là: 8, 15, 22, 29, 36…
- Phân tích: Hiệu giữa hai số liên tiếp luôn bằng 7 ($15 – 8 = 7$). Đây là cấp số cộng với $u_1 = 8$ và $d = 7$.
- Áp dụng: $u_n = 8 + (n-1) cdot 7 = 7n + 1$.
Hình 1: Mô phỏng phương pháp giải toán dãy số hiện đại 2026
Ví dụ 3: Giải bài toán với phân số phức tạp:
Cách tìm công thức của số hạng tổng quát (cực hay có lời giải)Hình 2: Đề bài tìm số hạng tổng quát cho dãy số phân thức
Hướng dẫn giải: Quan sát tử số và mẫu số của các số hạng đầu:
Cách tìm công thức của số hạng tổng quát (cực hay có lời giải)Từ quy luật trên, ta dễ dàng suy ra công thức số hạng tổng quát của dãy số là:
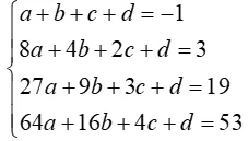
Ví dụ 4: Tìm quy luật cho dãy −1, 3, 19, 53 qua phương pháp hàm số: Giả sử $u_n = an^3 + bn^2 + cn + d$. Lập hệ phương trình từ 4 số hạng đầu:
Cách tìm công thức của số hạng tổng quát (cực hay có lời giải)Giải hệ, ta được $a=1, b=0, c=-3, d=1$. Vậy $u_n = n^3 – 3n + 1$.
Ví dụ 5: Dãy số thập phân vô hạn: 0,1; 0,01; 0,001…
Cách tìm công thức của số hạng tổng quát (cực hay có lời giải)Ta thấy $u_1 = 10^{-1}, u_2 = 10^{-2}$. Quy luật là:
Suy ra $u_n = 10^{-n}$.
Bí quyết từ chuyên gia cho bài tập trắc nghiệm
Trong các kỳ thi, thời gian là vàng. Chef Kim chia sẻ 2 “gia vị đặc biệt” để bạn tìm công thức số hạng tổng quát của dãy số nhanh gấp đôi:
- Kỹ thuật thử đáp án (Back-substitution): Nếu đề bài cho 4 lựa chọn A, B, C, D, đừng vội giải tự luận. Hãy thay $n=1, n=2$ vào từng công thức. Đáp án nào không cho ra đúng số đầu tiên của dãy thì loại ngay lập tức. Đây là cách “nếm thử” nhanh nhất để loại bỏ các phương án sai.
- Quan sát tính biến thiên: Nếu dãy số có các giá trị như $2, 4, 8, 16…$, chắc chắn công thức chứa $2^n$. Nếu là $1, 3, 5, 7…$, công thức thường là $2n-1$.
Ghi chú chuyên môn: “Cũng giống như nước hầm xương tại Korea House, nếu bạn lọc sạch bọt albumin thì nước mới trong. Trong toán học, việc khử đi các số hạng thừa bằng phương pháp hiệu hai số hạng liên tiếp ($u_{n+1} – u_n$) sẽ giúp lộ ra bản chất của quy luật.”
Hệ thống bài tập luyện tập chuyên sâu
Để thành thục việc lập công thức số hạng tổng quát của dãy số, hãy thử sức với các dạng bài sau:
Câu hỏi trắc nghiệm tự luyện: Dãy số: −1; 1; −1; 1; −1; 1… có công thức tổng quát là gì? A. $u_n = 1$ B. $u_n = -1$ C. $u_n = (-1)^n$ D. $u_n = (-1)^{n+1}$ (Đáp án: C – Vì với $n=1, u_1=-1$; $n=2, u_2=1$)
Bài tập nâng cao về hệ thức truy hồi: Cho $u1 = 2$ và $u{n+1} = 5u_n$. Xác định số hạng thứ 20.
- Phân tích: Đây là cấp số nhân với $q=5$.
- Công thức: $u_n = u_1 cdot q^{n-1} = 2 cdot 5^{n-1}$.
- Kết quả: $u_{20} = 2 cdot 5^{19}$.
Việc áp dụng linh hoạt các phương pháp trên sẽ giúp bạn không còn e ngại trước bất kỳ dãy số phức tạp nào. Hãy nhớ rằng, toán học cũng cần sự tỉ mỉ và kiên trì như việc nấu món cháo gà hầm sâm chuẩn công thức bất đẳng thức Cosi hay chuẩn bị một bàn tiệc Hàn Quốc đầy đủ sắc – hương – vị. Chúc bạn sớm làm chủ các con số và đạt kết quả cao trong học tập!
Ngày cập nhật mới nhất 03/03/2026 by Chef Kim
Chef Kim là người phụ trách phát triển hương vị và nội dung ẩm thực tại Korea House – Delivery Korea Food. Với kinh nghiệm trực tiếp trong bếp và sự am hiểu các món ăn Hàn Quốc quen thuộc, Chef Kim tập trung chia sẻ cách chế biến đơn giản, nguyên liệu dễ tìm và hương vị phù hợp khẩu vị người Việt, dựa trên quá trình nấu thử và phản hồi thực tế từ khách hàng.
